Top.Mail.Ru
info@dia-m.ru 8 (800) 234-05-08
+7 (495) 745-05-08
Ваш регион Москва?

Химические реактивы - буква «э»(временно недоступные реактивы)

PanReac Applichem
ЭГТА, не менее 99%, molecular biology grade
A-0878,0005ф
5 г
A-0878,0025
25 г
A-0878,0100
100 г
Товар временно недоступен. Аналоги по запросу ниже.


CAS-No. 67-42-5
Химическая формула C₁₄H₂₄N₂O₁₀
Молярный вес, г/моль 380,35
Содержание основного вещества (титр.), % мин. 99
Точка плавления, °C 240
Остаток после прокаливания, % макс. 0,1
ДНКазы/РНКазы/протеазы не обнаруживаются
Тяжелые металлы (типа Pb), % макс. 0,001
Вода, % макс. 1
Fe, % макс. 0,001
Условия хранения комнатная температура
neoFroxx
ЭГТА, 98%, для молекулярной биологии, CAS 67-42-5, (аналог арт. 932600.10 gm, CDH, Индия)
1752GR005
5 г

Товар временно недоступен. Аналог: 932600.10 gm, CDH, Индия


Этиленгликоль-бис(2-аминоэтилэфир)-N,N,N′,N′-тетрауксусная кислота используется:

  • в фосфатно-солевом буфере Дульбекко (DPBS) для ослабления межклеточных соединений;
  • как внеклеточный хелатор кальция для изучения роли кальция в дегенерации митохондрий аксонов;
  • как компонент в лизирующем буфере для лизирования клеток слизистой оболочки мышей для анализа вестерн-блоттинга.

Хелатирующий агент, полезный для определения кальция в присутствии магния.

Биохимические/физиотерапевтические действия

Этиленгликольтетрауксусная кислота (ЭГТА) может хелатировать кальций (Ca₂+) в соотношении 1:1. Она служит антикоагулянтом при растворении в концентрации 1 г на 100 мл крови. ЭГТА может предотвращать везикулярное высвобождение в нанодомене одиночных каналов Ca₂+. Этот хелатор металла может ингибировать активность псевдолизина.

Этиленгликоль-бис(2-аминоэтилэфир)-N,N,N′,N′-тетрауксусная кислота A является хелатирующим агентом, используемым для определения кальция в присутствии магния.



Синонимы: этиленгликоль-бис-(β-аминоэтиловый эфир)-N,N,N',N'-тетрауксусная кислота, этилендиокси-бис-(этиленнитрило)-тетрауксусная кислота, эгтазовая кислота.
CAS-No. 67-42-5
Химическая формула C₁₄H₂₄N₂O₁₀
Молекулярная масса 380,35 г/моль
Условия хранения не выше 25 °C
Содержание основного вещества, % 98
Внешний вид порошок от белого до темно-желтого цвета
ДНКазы/РНКазы/протеазы не содержит
neoFroxx
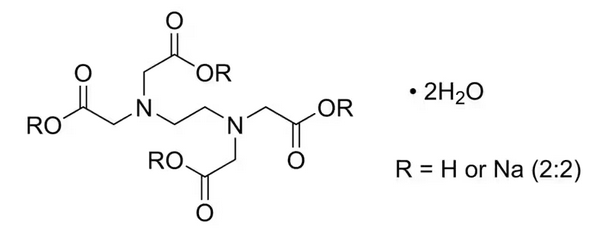
ЭДТА, CAS 60-00-4, 99%, для молекулярной биологии, (аналог арт. 085425, CDH, Индия)
1340GR500
500 г
Товар временно недоступен. Аналог: 085425, CDH, Индия


Синонимы: этилендинитрилотетрауксусная кислота, эдетовая кислота, эдатамил.
CAS-No. 60-00-4
Химическая формула C₁₀H₁₆N₂O₈
Молекулярный вес, г/моль 292,25
Содержание основного вещества, % не менее 99
Внешний вид белый порошок
pH (1% H₂O), (25 °C) 2,5
Вода, % не более 0,25
Железо, % не более 0,001
Свинец, % не более 0,001
Условия хранения комнатная температура

Индекс риска

R36Вызывает раздражение глаз
R52/53Опасно для водных организмов, может вызывать долгосрочные неблагоприятные изменения в водной среде
Индекс риска (R)
36-52/53

Индекс безопасности

S61Не допускать попадания в окружающую среду. Смотрите специальные инструкции/паспорт безопасности материала
Индекс безопасности (S)
61
PanReac Applichem
ЭДТА (этилендиаминтетрауксусная кислота), не менее 99%, BioChemica, (аналог: арт. 1669KG001, Neofroxx)
A-1103,0250ф
250 г
A-1103,0500ф
500 г
A-1103,1000
1 кг

Товар временно недоступен. Аналог: 1669KG001, Neofroxx.



CAS-No. 60-00-4
Химическая формула C₁₀H₁₆N₂O₈
Молярный вес , г/моль 292,25
Содержание основного вещества (титр.), % мин. 99
Связывание Ca (рН 11) ~340 мг CaCO₃/г
Точка плавления, °C 220
Тяжелые металлы (типа Pb) ,% макс. 0,001
Растворимость (20 °C) , г/л (H₂O) 0,5
рН (1% H₂O) , (25 °C) около 2,5
Вода, % макс. 0,25
Fe, % макс. 0,001
Условия хранения комнатная температура

Индекс риска

R36Вызывает раздражение глаз
R52/53Опасно для водных организмов, может вызывать долгосрочные неблагоприятные изменения в водной среде
Индекс риска (R)
36-52/53

Индекс безопасности

S61Не допускать попадания в окружающую среду. Смотрите специальные инструкции/паспорт безопасности материала
Индекс безопасности (S)
61
neoFroxx
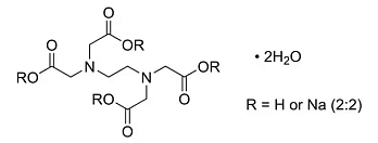
ЭДТА динатриевая соль, дигидрат, CAS 6381-92-6, для молекулярной биологии, (аналог арт. 932500.500 gm, CDH, Индия)
1108KG001
1 кг
Товар временно недоступен. Аналог: 932500.500 gm, CDH, Индия


Синонимы: Дигидрат динатрия этилендиаминтетраацетата, динатриевая соль ЭДТА, ЭДТА-Na₂.
CAS-No 6381-92-6
Химическая формула C10H14N2Na2O8 · 2H2O
Молекулярный вес, г/моль 372,24
Условия хранения при температуре ниже 25°C
Содержание основного вещества,% 99
Индекс риска (R) 36/37/38
Индекс безопасности (S) 26-36

Индекс риска

Индекс риска (R)
36/37/38

Индекс безопасности

S26В случае попадания в глаза немедленно промыть глаза большим количеством воды и обратиться за медицинской помощью
Индекс безопасности (S)
26-36
neoFroxx
ЭДТА, для биохимии, CAS 60-00-4, (аналог: арт. A-1103,0500ф, PanReac Applichem; арт. 932500.100gm, CDH, Индия)
1669KG001
1 кг
Товар временно недоступен. Аналог: 932500.500 gm, CDH, Индия


CAS-No. 60-00-4
Химическая формула C₁₀H₁₆N₂O₈
Молекулярный вес 292,2
Внешний вид белый порошок без запаха
pH (вода: 10 г/л , 23 °C) 2,5
Температура плавления/замерзания, °C 220
Температура вспышки, °C не менее 400
Растворимость в воде 400 мг/л при 20 °C
n-октанол/вода 0,13
PanReac Applichem
Эскулин, не менее 98%, BioChemica
A-1537,0010ф
10 г
A-1537,0100
100 г
Товар временно недоступен. Аналоги по запросу ниже.


CAS-No. 531-75-9
Химическая формула C₁₅H₁₆O₉x1,5H₂O
Молярный вес 367,31 г/моль
Содержание основного вещества не менее 98%
Точка плавления 215 °C
α20°C/D; 1,5 %, Диоксан:H2O 1:1 -84º - -87º
Вода (по Карлу Фишеру), % 6,5-8,5
neoFroxx
Этидиум бромид, 1% раствор, для биохимии, (аналог арт. 932450.10 ml, CDH, Индия)
2024ML010
10 мл
Товар временно недоступен. Аналог: 932450.10 ml, CDH, Индия
PanReac Applichem
Этидиум бромид, 1% раствор, BioChemica
A-1152,0025
25 мл
Товар временно недоступен. Аналоги по запросу ниже.


CAS-No. 9-45-8
Химическая формула C₂₁H₂₀BrN₃
Молярный вес, г/моль 394,33
Содержание этидиум бромида ,мг/мл 10
рН (1% водный р-р при 20 °С) 4,5
Раствор (водный 1%) прозрачный, красный
Условия хранения, °C 2-8

Индекс риска

R23Токсично при вдыхании
R68Возможен риск необратимых эффектов
Индекс риска (R)
23-68

Индекс безопасности

S36/37Надеть соответствующую защитную одежду и перчатки
Индекс безопасности (S)
36/37
PanReac Applichem
Этилацетат, 99,9%, для ВЭЖХ, УФ, ИК, PAI-ACS, (аналог арт. 730900.2.5 lit, CDH)
361318.1611
1 л
361318.1612
2,5 л
Синонимы: этилацетат, ацетилоксиэтан, ethyl acetate, acetyloxyethane.


CAS-No. 141-78-6
Химическая формула CH₃COOC₂H₅
Молекулярный вес 88,10 г/моль
Внешний вид бесцветная прозрачная жидкость
Содержание основного вещества 99,9%
Плотность при 20/4 0,900-0,902
APHA цвет 10
Кислотность 0,0002 мг-экв/г
Щелочность 0,0002 мг-экв/г
Нелетучие вещества 0,0003%
Вода 0,01%
Флуоресценция при 254 нм 2 ppb
Флуоресценция при 365 нм 1 ppb
Коэффициент пропускания при 253 нм не менее 10%
Коэффициент пропускания при 255 нм не менее 20%
Коэффициент пропускания при 257 нм не менее 32%
Коэффициент пропускания при 260 нм не менее 50%
Коэффициент пропускания при 263 нм не менее 80%
Коэффициент пропускания при 265 нм не менее 90%
Коэффициент пропускания при 270-400 нм не менее 98%

Индекс риска

R11Очень огнеопасно
R36Вызывает раздражение глаз
R66Повторяющееся воздействие может вызвать сухость и растрескивание кожи
R67Пары могут вызвать сонливость и головокружение
Индекс риска (R)
11-36-66-67

Индекс безопасности

S16Хранить вдали от источников возгорания — Не курить
S26В случае попадания в глаза немедленно промыть глаза большим количеством воды и обратиться за медицинской помощью
S33Примите меры предосторожности во избежание статических разрядов
Индекс безопасности (S)
16-26-33
PanReac Applichem
Этиленгликоль, 99,5%, Ph, Eur, для анализа
121316.1212
2,5 л

Товар временно недоступен. Аналоги по запросу ниже.



Синоним: диоксиэтан-1,2, этандиол-1,2, гликоль
CAS-No. 107-21-1
Химическая формула CH₂OHCH₂OH
Молекулярный вес 62,07 г/моль
Внешний вид бесцветная прозрачная жидкость
Содержание основного вещества 99,5 %
Плотность при 20/4 1,113-1,115
APHA цвет 10
Кислотность 0,0005 мг-экв/г
ИК-тест пройден
Хлориды 0,0001 %
Сульфаты 0,0005 %
Диэтиленгликоль 0,05 %
Вода 0,1 %
Кальций 0,00005 %
Кадмий 0,000005 %
Кобальт 0,000002 %
Хром 0,000002 %
Медь 0,000002 %
Железо 0,00001 %
Магний 0,00001 %
Марганец 0,000002 %
Никель 0,000002 %
Свинец 0,00001 %

Индекс риска

R22Опасно при проглатывании
Индекс риска (R)
22

Индекс опасности

Индекс опасности (H)
302

Индекс предупреждения

Индекс предупреждения (P)
264, 270, 301+312, 330, 501

Символы опасности

Символы опасности
опасность
Ваш заказ будет обработан
в ближайшее время.
Мы пришлем уведомление, как только все будет готово. Спасибо!