Top.Mail.Ru
info@dia-m.ru 8 (800) 234-05-08
+7 (495) 745-05-08
Ваш регион Москва?

Химические реактивы c европейским сертификатом качества со склада Диаэм!

26.06.2023
NeoFroxx – это общелабораторные реактивы, растворители для инструментального анализа, реактивы для синтеза и анализа, биохимии, микробиологии - отличная замена реактивам Panreac и Applichem.

Диаэм по прежнему предлагает реактивы европейского качества!

Мы существенно расширили предложение реактивов из Европы продукцией немецкого производителя NeoFroxx (Германия), которая так полюбилась нашими клиентами. NeoFroxx – это общелабораторные реактивы, растворители для инструментального анализа, реактивы для синтеза и анализа, биохимии, микробиологии – отличная замена реактивам Panreac и Applichem.

Все реактивы проходят аналитический контроль и поставляются с сертификатом анализа (Certificate of Analysis – CoA). Сертификат анализа – это документ, гарантирующий соответствие реактива определенным параметрам (качество, состав), выдается производителем по результатам анализа продукта на выходе для каждой партии.

Наши поставки регулярны и своевременны, большой ассортимент реактивов есть на складе, для оптовых и/или регулярных поставок работает программа поставки реактивов/сырья в течении 5 дней по заранее согласованному графику поставок!

Информация для заказа:

Пока нет данных. Перейти в каталог
Доступность
  • На складе
  • В транзите
  • В транзите и на складе
  • Все товары
1168GR001
хранение -20°C, транспортировка -20°C
По запросу
По запросу
Товар временно недоступен. Аналог: 998905.1 gm, CDH, Индия.


CAS-No. 7240-90-6
Химическая формула C₁₄H₁₅BrClNO₆
Молекулярный вес, г/моль 408,63
Содержание основного вещества, % не менее 99
ДНК-азы/РНК-азы/протеазы не обнаружены
Вода по Карлу Фишеру, % не более 1
  • Реактив X-Gal для молекулярной биологии, не менее 99%, Германия, NeoFroxx, 1 г
LC-4598.2
1 кг
По запросу
По запросу
Товар временно недоступен. Аналог: 913150.100, CDH, Индия.


Синонимы: аммониевая соль уксусной кислоты, аммоний уксуснокислый, Ammonium salt of acetic acid, ammonium acetate.


CAS-No. 631-61-8
Химическая формула CH₃COONH₄
Молекулярный вес, г/моль 77,08
Содержание основного вещества, % 98
Вода, % не более 2,5
Внешний вид белый кристаллический порошок
Точка плавления, °С 114
Растворимость в воде (20 °C), г/л 1480
pH (5%; H₂O, 25 °C) 6,5-7,3
Тяжелые металлы, % не более 0,001
Хлориды, % не более 0,002
Сульфаты, % не более 0,005
  • Аммоний ацетат, 98 %, pure, 1 кг, NeoFroxx, Германия
LC-11245.3
250 г
По запросу
По запросу
Товар временно недоступен. Аналог: 027195.500 gm, CDH, Индия.

Синонимы: персульфат аммония, пероксидисульфат аммония, АПС, Ammonium persulfate, Ammonium peroxodisulfate, Ammonium peroxydisulfate, AP, APS, PER.


CAS-No. 7727-54-0
Химическая формула (NH₄)₂S₂O₈
Молекулярный вес, г/моль 228,20
Содержание основного вещества, % не менее 98
Внешний вид белый кристаллический порошок
pH 3,0-4,0
Кислотность, мэкв/г не более 0,04
Остаток при прокаливании, % не более 0,05
Нерастворимые в воде вещества % не более 0,005
Хлориды и хлораты, % не более 0,001
Тяжелые металлы, % не более 0,005
Кальций, % не более 0,01
Кадмий, % не более 0,0005
Кобальт, % не более 0,0005
Хром, % не более 0,0005
Медь, % не более 0,0005
Железо, % не более 0,001
Калий, % не более 0,005
Магний, % не более 0,005
Марганец, % не более 0,00005
Натрий, % не более 0,01
Никель, % не более 0,0005
Свинец, % не более 0,0005
Цинк, % не более 0,0005
  • Аммоний персульфат, p.A., 98%, NeoFroxx, Германия
1610GR100
100 g
3 114, руб.
32,= EUR
Товар временно недоступен. Аналог: 914350, CDH, Индия.


Синонимы: персульфат аммония, пероксидисульфат аммония, АПС, Ammonium persulfate, Ammonium peroxodisulfate, Ammonium peroxydisulfate, AP, APS, PER.


CAS-No. 7727-54-0
Химическая формула (NH₄)₂S₂O₈
Молекулярный вес, г/моль 228,20
Содержание основного вещества, % не менее 98
Внешний вид белый кристаллический порошок
Свободные кислоты, % не более 0,1
Остаток при прокаливании, % не более 0,05
pH 3,0-4,0
Хлориды, % не более 0,001
Хлораты, % не более 0,001
Железо, % не более 0,001
Марганец, % не более 0,00005
Свинец, % не более 0,005
  • Аммоний персульфат, для молекулярной биологии, 98%, NeoFroxx, Германия
2381GR250
250 г
По запросу
По запросу
Товар временно недоступен. Аналог: 027195, CDH, Индия.


Синонимы: персульфат аммония, пероксидисульфат аммония, АПС,Ammonium persulfate, Ammonium peroxodisulfate, Ammonium peroxydisulfate, AP, APS, PER.


CAS-No. 7727-54-0
Химическая формула (NH₄)₂S₂O₈
Молекулярный вес, г/моль 228,2
Внешний вид бесцветные кристаллы
Содержание основного вещества, % не менее 98
Температура плавления, °С 120
Растворимость (H₂O), г/л 582
Свободная кислота, % не более 0,1
рН (5%, H₂O, 20 ºС) 3,0-4,0
Хлораты, % не более 0,001
Хлориды, % не более 0,001
Железо (Fe), % не более 0,001
Марганец (Mn), % не более 0,00005
Свинец (Pb), % не более 0,005
Условия хранения комнатная температура

Индекс риска

R22Опасно при проглатывании
R36/37/38Раздражает глаза, органы дыхания и кожу
Индекс риска (R)
8-22-36/37/38-42/43

Индекс безопасности

S24Избегать попадания на кожу
S26В случае попадания в глаза немедленно промыть глаза большим количеством воды и обратиться за медицинской помощью
Индекс безопасности (S)
22-24-26-37
  • Твин 20, для молекулярной биологии, NeoFroxx, Германия
1333KG001
1 кг
По запросу
По запросу
Товар временно недоступен. Аналог: TC1553U .1 kg, CDH, Индия.

Синоним(ы): аммоний сернокислый, маскагнит, Ammonium sulfate, Mascagnite.



CAS-No. 7783-20-2
Химическая формула (NH₄)₂SO₄
Молекулярный вес, г/моль 132,14
Содержание основного вещества, % не менее 99,5
Растворимость, г/л 760
Точка кипения, °C 280
pH 5,0-6,0
Хлориды, % не более 0,001
Нитраты, % не более 0,001
Фосфаты, % не более 0,0005
Мышьяк,% не более 0,0001
Кальций, % не более 0,001
Медь, % не более 0,0005
Железо, % не более 0,0005
Калий, % не более 0,002
Магний, % не более 0,0005
Натрий, % не более 0,002
Свинец, % не более 0,0005
Цинк, % не более 0,0002

Индекс риска

R22Опасно при проглатывании
R36/37/38Раздражает глаза, органы дыхания и кожу
Индекс риска (R)
8-22-36/37/38-42/43

Индекс безопасности

S24Избегать попадания на кожу
S26В случае попадания в глаза немедленно промыть глаза большим количеством воды и обратиться за медицинской помощью
Индекс безопасности (S)
22-24-26-37
  • Аммоний сульфат для молекулярной биологии, NeoFroxx, Германия, 1 кг
1146GR025
25 г
хранение +2...+8°C
По запросу
По запросу
Товар временно недоступен. Аналог: 914750 .5 gm, CDH, Индия.

Индекс риска

R22Опасно при проглатывании
R36/37/38Раздражает глаза, органы дыхания и кожу
Индекс риска (R)
8-22-36/37/38-42/43

Индекс безопасности

S24Избегать попадания на кожу
S26В случае попадания в глаза немедленно промыть глаза большим количеством воды и обратиться за медицинской помощью
Индекс безопасности (S)
22-24-26-37
  • Аммоний сульфат
1146GR010
1146GR010
10 г
хранение +2...+8°C
4 095, руб.
42,= EUR
1146GR100
100 г
хранение +2...+8°C, транспортировка +4°C
20 964, руб.
215,= EUR
Товар временно недоступен. Аналоги по запросу ниже.

Синоним: D(-)-α-аминобензилпенициллин натриевая соль, D-(-)-α-Aminobenzylpenicillin sodium salt; Ампициллин, Ampicillin sodium.


CAS-No. 69-52-3
Химическая формула C₁₆H₁₈N₃NaO₄S
Молекулярный веc, г/моль 371,39
Содержание основного вещества, % не менее 91,0 – 102,0
Внешний вид белый порошок
Раствор чистый, прозрачный
Специфическое вращение +258° до +287°
pH (10 % в воде, 20°C) 8,0 – 10,0
Тяжелые металлы (свинец), % не более 0,002
Вода (по Карлу Фишеру), % 2

Индекс риска

R22Опасно при проглатывании
R36/37/38Раздражает глаза, органы дыхания и кожу
Индекс риска (R)
8-22-36/37/38-42/43

Индекс безопасности

S24Избегать попадания на кожу
S26В случае попадания в глаза немедленно промыть глаза большим количеством воды и обратиться за медицинской помощью
Индекс безопасности (S)
22-24-26-37
  • Ампициллин натриевая соль
3767.0500/LC-6004.0500
3767.0500/LC-6004.0500
500 г
По запросу
По запросу
3767.1000/LC-6004.1000
1 кг
12 188, руб.
125,= EUR
3767.5000/LC-6004.5000
5 кг
По запросу
По запросу
LC-6004.3/3767.25000
25 кг
По запросу
По запросу
Товар временно недоступен. Аналог: TC1052M .1 kg, CDH, Индия.

Синонимы: (S)-2-Амино-5-гуанидинопентановая кислота, (S)-2-Amino-5-guanidinopentanoic acid, L-Arginine.


Синоним: 2-амино-5-гуанидинопентановая кислота
CAS-No. 74-79-3
Химическая формула C₆H₁₄N₄O₂
Молярный вес 174,2
Содержание основного вещества, % 98,5-101,0
Внешний вид Порошок белого цвета
Тяжелые металлы (Pb), % Не более 0,001
Зола, % Не более 0,1
Остаток при высушивании, % Не более 0,5
Хлориды, % Не более 0,02
Сульфаты, % Не более 0,03
Железо, % Не более 0,001
Аммоний, % Не более 0,02
Бактериальные эндотоксины Не более 2.0 I.U./g
Примеси, % Не более 2

Индекс риска

R22Опасно при проглатывании
R36/37/38Раздражает глаза, органы дыхания и кожу
Индекс риска (R)
8-22-36/37/38-42/43

Индекс безопасности

S24Избегать попадания на кожу
S26В случае попадания в глаза немедленно промыть глаза большим количеством воды и обратиться за медицинской помощью
Индекс безопасности (S)
22-24-26-37
  • Аргинин-L, 98,5 - 101,5 %, EP, USP, neoFroxx
LC-5078.0100
LC-5078.0100
100 г
По запросу
По запросу
LC-5078.0250
250 г
1 950, руб.
20,= EUR
LC-5078.1000
1 кг
9 068, руб.
93,= EUR
LC-5078.5000
5 кг
По запросу
По запросу
LC-5078.6
25 кг
36 801, руб.
377,= EUR
Товар временно недоступен. Аналог: 459995, CDH, Индия.

Синоним(ы): гамма-лактон 2,3-дегидро-L-гулоновой кислоты, L-Ascorbic acid, L-Threoascorbic acid, Antiscorbutic factor, Vitamin C, L-аскорбиновая кислота, L-треоаскорбиновая кислота, антицинготный фактор, витамин С.


CAS-No. 50-81-7
Химическая формула C₆H₈O₆
Молекулярная масса, г/моль 176,13
Квалификация pure EP, USP
Содержание основного вещества, % 99,0-100,5
Растворимость (20°C в воде), г/л 333
Температура плавления, °C 190,2
α20°C/D; 10 % в воде +20,5°-+21,5°
pH (5 % в воде; 20°C) 2,1-2,6
Нерастворимые в воде вещества тест
Примеси (общие), % 0,2
Потери при высушивании, % 0,4
Сульфатная зола, % 0,1
Мышьяк, % 0,0003
Медь, % 0,0005
Железо, % 0,0002
Ртуть, % 0,0001
Условия хранения не выше 25 °С

Индекс риска

R22Опасно при проглатывании
R36/37/38Раздражает глаза, органы дыхания и кожу
Индекс риска (R)
8-22-36/37/38-42/43

Индекс безопасности

S24Избегать попадания на кожу
S26В случае попадания в глаза немедленно промыть глаза большим количеством воды и обратиться за медицинской помощью
Индекс безопасности (S)
22-24-26-37
  • Аскорбиновая-L(+) кислота, Витамин С
LC-5413.2
LC-5413.2
1 л
4 594, руб.
4 594, руб. RUB
LC-5413.1
2,5 л
прекурсор
5 000, руб.
5 000, руб. RUB
Данный реактив входит в список прекурсоров, для покупки требуется заполнить бланк об отпуске прекуросоров.


Синоним(ы): нитрил уксусной кислоты, этаннитрил, метилцианид, безводный ацетонитрил, сухой ацетонитрил, Anhydrous ACN, Dry MeCN, Methyl cyanide, Acetonitrile.


CAS-No. 75-05-8
Химическая формула CH₃CN
Молекулярный вес 41,05 г/моль
Внешний вид бесцветная жидкость
Содержание основного вещества >99,99%
Плотность 0,786
Показатель преломления, nD20 1,3442
Точка кипения, ºC 80-82
Точка плавления, ºC -48
APHA цвет max 10
Вода 0,02 %
Кислотность 0,0005 мг-экв/г
Щелочность 0,0001 мг-экв/г
Градиент при 210 нм 1 mUA
Градиент при 254 нм 0,5 mUA
Флуоресценция при 254 нм 1 ppb
Флуоресценция при 365 нм 0,5 ppb
Коэффициент пропускания при 193 нм не менее 60 %
Коэффициент пропускания при 195 нм не менее 80 %
Коэффициент пропускания при 230 нм не менее 98 %

Индекс риска

R11Очень огнеопасно
R20/21/22Опасно при вдыхании, попадании на кожу и проглатывании
R36Вызывает раздражение глаз
Индекс риска (R)
11-20/21/22-36

Индекс безопасности

S16Хранить вдали от источников возгорания — Не курить
S36/37Надеть соответствующую защитную одежду и перчатки
Индекс безопасности (S)
16-36/37

Символы опасности

Символы опасности
опасность, огнеопасно
  • Ацетонитрил
1188GR001
1 г
хранение +2...+8°C, транспортировка +4°C
13 066, руб.
134,= EUR
Товар временно недоступен. Аналог: 024060.1 gm, CDH, Индия.


Синонимы: кофермент R, гексагидро-2-оксо-1Н-тиено (3,4-d)имидазол-4-пентановая кислота, витамин Н.



CAS-No. 58-85-5
Молекулярный вес, г/моль 244,31
Содержание основного вещества,% не менее 99
Пирогенный тест пройден
Растворимость (1 % в воде) чистый прозрачный
Специфическое вращение (α20°C/D; 1 %, 0,1 Н NaOH) +89° до +93°
Тяжелые металлы (свинец) не более 0,001
Потери при сушке,% не более 1
Сульфатированная зола,% не более 0,1

Индекс риска

R11Очень огнеопасно
R20/21/22Опасно при вдыхании, попадании на кожу и проглатывании
R36Вызывает раздражение глаз
Индекс риска (R)
11-20/21/22-36

Индекс безопасности

S16Хранить вдали от источников возгорания — Не курить
S36/37Надеть соответствующую защитную одежду и перчатки
Индекс безопасности (S)
16-36/37

Символы опасности

Символы опасности
опасность, огнеопасно
  • Биотин D(+), neoFroxx
1528ML500
500 мл
По запросу
По запросу
Товар временно недоступен. Аналог: 921160.100 gm, CDH, Индия.


Синоним: катионоактивное моющее средство бромид цетилтриметиламмония.
CAS-No. 57-09-0
Внешний вид бесцветный раствор
pH (20°C) 7,8-8,2
Состав:
CTAB, г/л 20
TRIS-HCl, г/л 12,11
NaCl, г/л 81,82
EDTA-Na₂-2H₂O 7,44

Индекс риска

R11Очень огнеопасно
R20/21/22Опасно при вдыхании, попадании на кожу и проглатывании
R36Вызывает раздражение глаз
Индекс риска (R)
11-20/21/22-36

Индекс безопасности

S16Хранить вдали от источников возгорания — Не курить
S36/37Надеть соответствующую защитную одежду и перчатки
Индекс безопасности (S)
16-36/37

Символы опасности

Символы опасности
опасность, огнеопасно
  • Буфер CTAB, для биохимии, NeoFroxx, Германия, 500 мл
1166TB100
100 таблеток
По запросу
По запросу


pH (25°C) 7,35-7,45
Состав:
KCl 2,7 mM
NaCl 140 mM
Фосфаты 10 mM

Индекс риска

R11Очень огнеопасно
R20/21/22Опасно при вдыхании, попадании на кожу и проглатывании
R36Вызывает раздражение глаз
Индекс риска (R)
11-20/21/22-36

Индекс безопасности

S16Хранить вдали от источников возгорания — Не курить
S36/37Надеть соответствующую защитную одежду и перчатки
Индекс безопасности (S)
16-36/37

Символы опасности

Символы опасности
опасность, огнеопасно
  • Буфер CTAB
LC-4638.4
1 л
5 558, руб.
57,= EUR


Компоненты Лимонная кислота, NaCl, Соляная кислота
pH при 10°C 1,99 +/- 0,02
pH при 20°C 2,00 +/- 0,02
pH при 30°C 2,00 +/- 0,02
pH при 40°C 2,00 +/- 0,02

Индекс риска

R11Очень огнеопасно
R20/21/22Опасно при вдыхании, попадании на кожу и проглатывании
R36Вызывает раздражение глаз
Индекс риска (R)
11-20/21/22-36

Индекс безопасности

S16Хранить вдали от источников возгорания — Не курить
S36/37Надеть соответствующую защитную одежду и перчатки
Индекс безопасности (S)
16-36/37

Символы опасности

Символы опасности
опасность, огнеопасно
  • Буфер CTAB
LC-6255.4
LC-6255.4
250 мл
По запросу
По запросу
LC-6255.2
1 л
6 435, руб.
66,= EUR

Товар временно недоступен. Аналоги по запросу ниже.

Индекс риска

R11Очень огнеопасно
R20/21/22Опасно при вдыхании, попадании на кожу и проглатывании
R36Вызывает раздражение глаз
Индекс риска (R)
11-20/21/22-36

Индекс безопасности

S16Хранить вдали от источников возгорания — Не курить
S36/37Надеть соответствующую защитную одежду и перчатки
Индекс безопасности (S)
16-36/37

Символы опасности

Символы опасности
опасность, огнеопасно
  • Буфер CTAB
LC-4697.3
LC-4697.3
250 мл
2 564, руб.
26,= EUR
LC-4697.5
500 мл
По запросу
По запросу
LC-4697.2
1 л
По запросу
По запросу

Товар временно недоступен. Аналог арт. 3.04.0625, Россия.



Компоненты Лимонная кислота, NaCl, NaOH
pH при 10°C 4,01 +/- 0,02
pH при 20°C 4,00 +/- 0,02
pH при 25°C 4,00 +/- 0,02
pH при 30°C 4,00 +/- 0,02
pH при 40°C 4,00 +/- 0,02

Индекс риска

R11Очень огнеопасно
R20/21/22Опасно при вдыхании, попадании на кожу и проглатывании
R36Вызывает раздражение глаз
Индекс риска (R)
11-20/21/22-36

Индекс безопасности

S16Хранить вдали от источников возгорания — Не курить
S36/37Надеть соответствующую защитную одежду и перчатки
Индекс безопасности (S)
16-36/37

Символы опасности

Символы опасности
опасность, огнеопасно
  • Буфер CTAB
LC-4694.2
LC-4694.2
250 мл
2 564, руб.
26,= EUR
LC-4694.4
1 л
5 265, руб.
54,= EUR

Товар временно недоступен. Аналог арт. 3.04.0635, Россия.

Индекс риска

R11Очень огнеопасно
R20/21/22Опасно при вдыхании, попадании на кожу и проглатывании
R36Вызывает раздражение глаз
Индекс риска (R)
11-20/21/22-36

Индекс безопасности

S16Хранить вдали от источников возгорания — Не курить
S36/37Надеть соответствующую защитную одежду и перчатки
Индекс безопасности (S)
16-36/37

Символы опасности

Символы опасности
опасность, огнеопасно
  • Буфер CTAB
LC-4695.3
1 л
5 137, руб.
53,= EUR
LC-4696.1
LC-4696.1
250 мл
2 220, руб.
23,= EUR
LC-4696.2
500 мл
По запросу
По запросу
LC-4696.3
1 л
По запросу
По запросу
LC-4696.4
5 л
По запросу
По запросу

Товар временно недоступен. Аналоги по запросу ниже.

Индекс риска

R11Очень огнеопасно
R20/21/22Опасно при вдыхании, попадании на кожу и проглатывании
R36Вызывает раздражение глаз
Индекс риска (R)
11-20/21/22-36

Индекс безопасности

S16Хранить вдали от источников возгорания — Не курить
S36/37Надеть соответствующую защитную одежду и перчатки
Индекс безопасности (S)
16-36/37

Символы опасности

Символы опасности
опасность, огнеопасно
  • Буфер CTAB
LC-10067.1
1 л
По запросу
По запросу

Товар временно недоступен. Аналоги по запросу ниже.



Индекс риска

R11Очень огнеопасно
R20/21/22Опасно при вдыхании, попадании на кожу и проглатывании
R36Вызывает раздражение глаз
Индекс риска (R)
11-20/21/22-36

Индекс безопасности

S16Хранить вдали от источников возгорания — Не курить
S36/37Надеть соответствующую защитную одежду и перчатки
Индекс безопасности (S)
16-36/37

Символы опасности

Символы опасности
опасность, огнеопасно
  • Буфер CTAB
LC-6252.1
1 л
По запросу
По запросу

Товар временно недоступен. Аналоги по запросу ниже.



Индекс риска

R11Очень огнеопасно
R20/21/22Опасно при вдыхании, попадании на кожу и проглатывании
R36Вызывает раздражение глаз
Индекс риска (R)
11-20/21/22-36

Индекс безопасности

S16Хранить вдали от источников возгорания — Не курить
S36/37Надеть соответствующую защитную одежду и перчатки
Индекс безопасности (S)
16-36/37

Символы опасности

Символы опасности
опасность, огнеопасно
  • Буфер CTAB
LC-4058.4
100 г
По запросу
По запросу
Товар временно недоступен. Аналог: 037160.500 gm, CDH, Индия.


Синоним(ы): L-2-амино-3-метилбутановая кислота, (S)-α-аминоизовалериановая кислота, L-2-Амино-изовалериановая, L-2-amino-3-methylbutanoic acid, (S)-α-aminoisovaleric acid, L-2-Amino-isovaleric.


CAS-No. 72-18-4
Химическая формула C₅H₁₁NO₂
Молекулярный вес, г/моль 117,15
Содержание основного вещества, % 98,5 - 101,0
Потери при высушивании (3 ч; 105°C), % не более 0,3
Сульфатная зола, % не более 0,1
pH (5%; H₂O) 5,5-7,0
α20°C/D; 8 %, 25 % HCl, в пересчете на сухое вещество +26,8° - +29,0°
α25°C/D; 8 %, 6 M HCl +26,6° - +28,8°
Внешний вид раствора соответствует
Идентичность соответствует
Тяжелые металлы (такие как Pb), % не более 0,001
Аммиак, % не более 0,02
Хлориды, % не более 0,02
Сульфаты, % не более 0,03
Железо, % не более 0,001
Всего примесей, % не более 2
Условия хранения комнатная температура

Индекс риска

Индекс риска (R)
40

Индекс безопасности

S24/25Избегать попадания на кожу и в глаза
S36Наденьте соответствующую защитную одежду
Индекс безопасности (S)
24/25-36-22
  • Валин-L 98,5 - 101,0%,  pure EP, USP (pharma grade), NeoFroxx
1058LT001
1 л
По запросу
По запросу

Товар временно недоступен. Аналог 994000.5 lit, CDH, Индия.


Получена с использованием технологии обратного осмоса, проходит очистку посредством фильтров с порами размером 0,2 микрометра, свободна от ДЭПК (диэтилпирокарбоната) и каких-либо химических примесей. Отсутствуют взвешенные частицы. ДНКазы, РНКазы и протеазы не выявлены.



CAS-No. 7732-18-5
Химическая формула H₂O
Молекулярный вес, г/моль 18,01
Внешний вид прозрачная жидкость
pH 5-7
Тяжелые металлы, % не более 0,00001
Осмоляльность, мOсм/кг 0

Индекс риска

Индекс риска (R)
40

Индекс безопасности

S24/25Избегать попадания на кожу и в глаза
S36Наденьте соответствующую защитную одежду
Индекс безопасности (S)
24/25-36-22
  • Вода (не обработана диэтилпирокарбонатом), без нуклеаз, для молекулярной биологии, neoFroxx
LC-10237.2
2,5 л
По запросу
По запросу
Товар временно недоступен. Аналог: 779600.2.5 lit, CDH, Индия.


CAS-No. 7732-18-5
Химическая формула H₂O
Молекулярный вес, г/моль 18,016
Внешний вид прозрачная бесцветная жидкость
Нелетучие вещества, % не более 0,00001
Проводимость 1μS
Ионизация электрораспылением, % не более 0,000005
Спектрометрия (Резерпин):
Алюминий не более 0,000005
Железо не более 0,000005
Кальций не более 0,000005
Калий не более 0,000005
Магний не более 0,000005
Натрий не более 0,000005
ВЭЖХ, пропускание 210 нм 3 mAU
ВЭЖХ, пропускание 254 нм 1 mAU
Флуоресценция 254 нм 1 ppb
Флуоресценция 365 нм 1 ppb

Индекс риска

Индекс риска (R)
40

Индекс безопасности

S24/25Избегать попадания на кожу и в глаза
S36Наденьте соответствующую защитную одежду
Индекс безопасности (S)
24/25-36-22
  • Вода для ВЭЖХ, ЖХ-МС, NeoFroxx, Германия
LC-4913.1
2,5 л
По запросу
По запросу
Товар временно недоступен. Аналог: 779600.2.5 lit, CDH, Индия.


CAS-No. 75-09-2
Химическая формула CH₂Cl₂
Молекулярный вес 84,93 г/моль
Внешний вид прозрачная бесцветная жидкость
Содержание основного вещества, % 99,9
Точка плавления, °C -95
Точка кипения, °C 40
Плотность, г/см³ 1,33

Индекс риска

Индекс риска (R)
40

Индекс безопасности

S24/25Избегать попадания на кожу и в глаза
S36Наденьте соответствующую защитную одежду
Индекс безопасности (S)
24/25-36-22
  • Вода для ВЭЖХ
LC-5073.2
LC-5073.2
500 г
По запросу
По запросу
LC-5073.1
1 кг
По запросу
По запросу
LC-5073.4
5 кг
По запросу
По запросу
Товар временно недоступен. Аналог: 937750, CDH, Индия.


CAS-No. 59-23-4
Химическая формула C₆H₁₂O₆
Молекулярный вес, г/моль 180,16
Содержание основного вещества, % не менее 98
Внешний вид белый порошок
Потери при высушивании (110 °C, 3 ч), % не более 0,3
Растворимость (10 % в воде, 20°C), г/л 650
Температура плавления, °C 163-171
α20°C/D; 10 % в воде +78,0° … +81,5°
Содержание глюкозы, ppm не более 1000
Метанол (GC), % не более 0,3
Тяжелые металлы (такие как свинец), ppm не более 0,5
Вода, % не более 1
Сульфатная зола, % не более 0,3
Дрожжи и грибы не более 100 / g

Индекс риска

Индекс риска (R)
40

Индекс безопасности

S24/25Избегать попадания на кожу и в глаза
S36Наденьте соответствующую защитную одежду
Индекс безопасности (S)
24/25-36-22
  • Галактоза- D(+) 98%, pure EP (pharma grade), NeoFroxx, Германия, 1 кг
LC-4065.2
2,5 л
По запросу
По запросу
Товар временно недоступен. Аналог: 743560.2.5 lit, CDH, Индия.





Синоним: н - гексан.
CAS-No. 110-54-3
Химическая формула CH₃(CH₂)₄CH₃
Молекулярный вес 86,18 г/моль
Внешний вид бесцветная жидкость
Содержание основного вещества, % 96
Вода, % не более 100 ppm
Кислотность не более 0,00015 мэкв/г
Щелочность не более 0,00015 мэкв/г
Остаток после испарения не более 2 ppm
Ароматические соединения не более 10 ppm
Общая сера не более 5 ppm
Коэффициент пропускания УФ:
210 нм не менее 50 %
220 нм не менее 82 %
230 нм не менее 92 %
240 нм не менее 95 %
245 нм не менее 98 %
250 нм не менее 99 %
УФ-поглощение от 260 до 420 нм не более 0,01 AU

Индекс риска

Индекс риска (R)
40

Индекс безопасности

S24/25Избегать попадания на кожу и в глаза
S36Наденьте соответствующую защитную одежду
Индекс безопасности (S)
24/25-36-22
  • Галактоза- D(+)
2014GR001
1 г
хранение +2...+8°C
По запросу
По запросу
1453GR025
25 г
12 676, руб.
130,= EUR
Товар временно недоступен. Аналог: 103935, CDH, Индия.



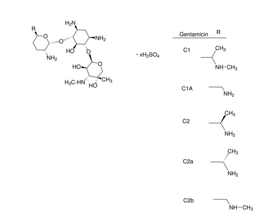
CAS-No. 1405-41-0
Химическая формула C₁₉₋₂₁H₃₉₋₄₃N₅O₇×2,5H₂SO₄
Молекулярный вес, г/моль 694,75–723,75
Активность 600 I.E./мг
Внешний вид белый порошок
Специфическое вращение (α20°C/D; 10 % в воде) +107° to +121°
pH (4 % в воде) 3,5–5,5
Вода (по Карлу Фишеру), % не более 15
Сульфаты, % не более 32–35

Индекс риска

Индекс риска (R)
40

Индекс безопасности

S24/25Избегать попадания на кожу и в глаза
S36Наденьте соответствующую защитную одежду
Индекс безопасности (S)
24/25-36-22
  • Гентамицин сульфат, для биохимии, 25 г, Neofroxx, Германия
1170GR005
5 г
82 394, руб.
845,= EUR
Товар временно недоступен. Аналог: 110635, CDH, Индия.


CAS-No. 9041-08-1
Молекулярный вес 8000–25000 г/моль
Пирогенный тест пройден
Содержание основного вещества 150 I.U. /мг
Растворимость (1 % в воде) чистый прозрачный
Специфическое вращение +258° до +287°
pH (1 % в воде, 20°C) 5,5–8,0
Тяжелые металлы (свинец), % не более 0,003
Потери при сушке, % не более 8

Индекс риска

Индекс риска (R)
40

Индекс безопасности

S24/25Избегать попадания на кожу и в глаза
S36Наденьте соответствующую защитную одежду
Индекс безопасности (S)
24/25-36-22
  • Гепарин натриевая соль, для клеточной биологии, neoFroxx
LC-4934.1
1 кг
По запросу
По запросу
Товар временно недоступен. Аналог: 037118.500 gm, CDH, Индия.

Синонимы: (S)-α-амино-1H-имидазол-4-пропановой кислоты гидрохлорид, L-α-Амино-β-(4-имидазолил)пропионовая кислота моногидрохлорид, L-α-Amino-β-(4-imidazolyl)propionic acid monohydrochloride.



CAS-No. 5934-29-2
Химическая формула C₆H₉N₃O₂×HCl×H₂O
Молекулярный вес, г/моль 209,63
Содержание основного вещества, % 98,5 – 101,0
Вода, % 7,2-10,0
Потери при высушивании (150°C), % 7,0-10,0
Сульфатная зола (600°C), % не более 0,1
Сульфаты, % не более 0,02
Тяжелые металлы, % не более 0,001
Железо, % не более 0,001
pH (50 г/л CO₂-free water) 3,5–5,0
pH (100 г/л, CO₂-free water) 3,5–4,5
Вращение (α 20/D) +9,2° – +10,6°

Индекс риска

Индекс риска (R)
40

Индекс безопасности

S24/25Избегать попадания на кожу и в глаза
S36Наденьте соответствующую защитную одежду
Индекс безопасности (S)
24/25-36-22
  • Гистидин гидрохлорид-L моногидрат, 98,5 – 101,0 %, pure EP, neoFroxx
1211GR100
100 г
По запросу
По запросу

Товар временно недоступен. Аналог: 113170.100 gm, CDH, Индия.



Синонимы:
(S)-2-Амино-3-(4-имидазолил)пропионовая кислота, L-2-амино-3-(имидазолил-4)-пропионовая кислота, L-Histidine, NSC 137773, L-2-amino-3-(imidazolyl-4)-propionic acid, (S)-2-Amino-3-(4-imidazolyl)propionic acid.


CAS-No. 71-00-1
Химическая формула C₆H₉N₃O₂
Молекулярный вес, г/моль 155,16
Содержание основного вещества, % Не менее 99
pH (2 % в воде) 7,0-8,5
α20°C/D; 10 %, HCl +11,8°…+12,8°
Другие аминокислоты, % Не более 0,5
Аммоний, % Не более 0,1
Хлориды, % Не более 0,02
Сульфаты, % Не более 0,02
Мышьяк, % Не более 0,0001
Железо, % Не более 0,001
Свинец, % Не более 0,001
Условия хранения Комнатная температура

Индекс риска

R24/25Токсично при попадании на кожу и проглатывании
Индекс риска (R)
24/25

Индекс безопасности

S26В случае попадания в глаза немедленно промыть глаза большим количеством воды и обратиться за медицинской помощью
S39Используйте средства защиты глаз/лица
S37/39Надеть соответствующие перчатки и средства защиты глаз/лица
S24/25Избегать попадания на кожу и в глаза
S36/37/39Надеть соответствующую защитную одежду, перчатки и средства защиты глаз/лица
S45В случае аварии или при плохом самочувствии немедленно обратиться за медицинской помощью (по возможности предъявить этикетку материала)
S36Наденьте соответствующую защитную одежду
Индекс безопасности (S)
26-39-37/39-24/25-36/37/39-45-36
  • Гистидин-L основной, для клеточной биологии, NeoFroxx, Германия, 100 г
LC-6508.1
LC-6508.1
1 л
По запросу
По запросу
LC-6508.3
5 л
27 497, руб.
282,= EUR


Синоним: глицерол, пропантриол-1,2,3.
CAS-No. 56-81-5
Химическая формула C₃H₈O₃
Молекулярный вес, г/моль 92,10
Содержание основного вещества, % 99,5
Показатель преломления 1,470 – 1,475
Вода, % не более 0,5
Цвет APHA 10
Тяжелые металлы, % не более 0,0005
Хлориды, % не более 0,001
Сульфатная зола, % не более 0,01
Галогенированные соединения, % не более 0,0035
Плотность (d 20°C/4°C) 1,256–1,262
Альдегиды, % не более 0,001
Диэтиленгликоль, % не более 0,1
Сложный эфир (0,1 N HCl) 8,0 мл
Кислотно-щелочная реакция (0,1 N NaOH) не более 0,2 мл

Индекс риска

R24/25Токсично при попадании на кожу и проглатывании
Индекс риска (R)
24/25

Индекс безопасности

S26В случае попадания в глаза немедленно промыть глаза большим количеством воды и обратиться за медицинской помощью
S39Используйте средства защиты глаз/лица
S37/39Надеть соответствующие перчатки и средства защиты глаз/лица
S24/25Избегать попадания на кожу и в глаза
S36/37/39Надеть соответствующую защитную одежду, перчатки и средства защиты глаз/лица
S45В случае аварии или при плохом самочувствии немедленно обратиться за медицинской помощью (по возможности предъявить этикетку материала)
S36Наденьте соответствующую защитную одежду
Индекс безопасности (S)
26-39-37/39-24/25-36/37/39-45-36
  • Глицерин ангидрид, 99,5 %, pure EP, USP, NeoFroxx, Германия
1154KG001
1 кг
9 751, руб.
100,= EUR
Синонимы: аминоуксусная кислота, аминоэтановая кислота, гликокол, Aminoacetic acid, Aminoethanoic acid, Glycocoll, Glycine.


CAS-No. 56-40-6
Химическая формула C₂H₅NO₂
Молекулярный вес, г/моль 75,07
Содержание основного вещества, % 99,5
pH 5,9-6,4
Потери при высушивании, % не более 0,1
Хлориды, % не более 0,004
Сульфаты, % не более 0,005
Аммоний, % не более 0,02
Другие аминокислоты, % не более 0,1
Железо, % не более 0,0005
Мышьяк, % не более 0,0001
Свинец, % не более 0,0005

Индекс риска

R24/25Токсично при попадании на кожу и проглатывании
Индекс риска (R)
24/25

Индекс безопасности

S26В случае попадания в глаза немедленно промыть глаза большим количеством воды и обратиться за медицинской помощью
S39Используйте средства защиты глаз/лица
S37/39Надеть соответствующие перчатки и средства защиты глаз/лица
S24/25Избегать попадания на кожу и в глаза
S36/37/39Надеть соответствующую защитную одежду, перчатки и средства защиты глаз/лица
S45В случае аварии или при плохом самочувствии немедленно обратиться за медицинской помощью (по возможности предъявить этикетку материала)
S36Наденьте соответствующую защитную одежду
Индекс безопасности (S)
26-39-37/39-24/25-36/37/39-45-36
  • Глицин
LC-10273.0250
LC-10273.0250
250 г
По запросу
По запросу
LC-10273.1000
1 кг
По запросу
По запросу
LC-10273.5000
5 кг
По запросу
По запросу
LC-10273.2
25 кг
По запросу
По запросу
Товар временно недоступен. Аналог: 537345.100 gm, CDH, Индия.

Синонимы: аминоуксусная кислота, аминоэтановая кислота, гликокол, Aminoacetic acid, Aminoethanoic acid, Glycocoll, Glycine.


CAS-No 56-40-6
Химическая формула C₂H₅NO₂
Молекулярная масса, г/моль 75,07
Квалификация pure EP, USP
Содержание основного вещества, % 98,5-101,0
Внешний вид белый кристаллический порошок
Вид раствора (100 г/л, Н2О свободная от СО2) прозрачный, бесцветный
Идентичность в ИК спектре тест
рН (50 г/л, Н2О свободная от СО2) 5,9-6,4
Хлориды (Cl), ppm 70
Сульфаты (SO4), ppm 65
Тяжелые металлы(в пересч. на Pb), ppm 10
Мышьяк (As), ppm 2
Гидролизуемые вещества (ЖХ) тест
Связанные вещества тест
Нингидрин-положительные вещества (все нингидрин-положит. примеси) (ЖХ), % 0,1
Нингидрин-положительные вещества (аммоний (570 нм)) (ЖХ), % 0,02
Нингидрин-положительные вещества (общие примеси) (ЖХ), % 1,0
Связанные вещества ВЖЭХ (Примеси В), % 0,1
Связанные вещества ВЭЖХ (Примеси Н), % 0,1
Связанные вещества ВЭЖХ (Примеси I), % 0,1
Связанные вещества ВЭЖХ (Неспецифич. примеси), % 0,1
Связанные вещества ВЭЖХ (Сумма всех примесей), % 0,2
Метанол (ГХ), ppm 3000
Другие остаточные растворители вне производства
Потери при высушивании (2 ч; 105°C), % 0,2
Сульфатная зола (600°C), % 0,1
Бактериальные эндотоксины, ед. акт/ г 3,0
Условия хранения не выше 25°С

Индекс риска

R24/25Токсично при попадании на кожу и проглатывании
Индекс риска (R)
24/25

Индекс безопасности

S26В случае попадания в глаза немедленно промыть глаза большим количеством воды и обратиться за медицинской помощью
S39Используйте средства защиты глаз/лица
S37/39Надеть соответствующие перчатки и средства защиты глаз/лица
S24/25Избегать попадания на кожу и в глаза
S36/37/39Надеть соответствующую защитную одежду, перчатки и средства защиты глаз/лица
S45В случае аварии или при плохом самочувствии немедленно обратиться за медицинской помощью (по возможности предъявить этикетку материала)
S36Наденьте соответствующую защитную одежду
Индекс безопасности (S)
26-39-37/39-24/25-36/37/39-45-36
  • Глицин, pure EP, USP, не менее 98,5%, Диаэм
LC-6005.2
1 кг
40 953, руб.
420,= EUR


Синонимы: L-2-аминоглутаровая кислота-5-амид.
CAS-No. 56-85-9
Химическая формула C₅H₁₀N2O₃
Молекулярный вес, г/моль 146,15
Содержание основного вещества, % 99-101
pH 4,0-6,0
Хлориды, ppm не более 200
Сульфаты, ppm не более 200
Железо, ppm не более 10
Тяжелые металлы, ppm не более 10
Аммоний, % не более 0,1
Медь, ppm не более 25
Марганец, ppm не более 25
Цинк, ppm не более 130
Никель, ppm не более 2
Потери при высушивании, % не более 0,3
Сульфатная зола (600°C), % не более 0,1
Бактериальные эндотоксины не более 50 I.U./g

Индекс риска

R24/25Токсично при попадании на кожу и проглатывании
Индекс риска (R)
24/25

Индекс безопасности

S26В случае попадания в глаза немедленно промыть глаза большим количеством воды и обратиться за медицинской помощью
S39Используйте средства защиты глаз/лица
S37/39Надеть соответствующие перчатки и средства защиты глаз/лица
S24/25Избегать попадания на кожу и в глаза
S36/37/39Надеть соответствующую защитную одежду, перчатки и средства защиты глаз/лица
S45В случае аварии или при плохом самочувствии немедленно обратиться за медицинской помощью (по возможности предъявить этикетку материала)
S36Наденьте соответствующую защитную одежду
Индекс безопасности (S)
26-39-37/39-24/25-36/37/39-45-36
  • Глутамин- L, 99,0 - 101,0 %, чистый, DAB, USP, neoFroxx
1464ML100
100 мл
хранение -20°C, транспортировка -20°C
По запросу
По запросу


Синонимы: L-глутаминовая кислота-5-амид, Gln
CAS-No. 56-85-9
Химическая формула C5H10N2O3
Молекулярный вес, г/моль 146,15
pH 7,0-7,5
Стерильность Стерильно
Температура хранения, °C - 20
Содержание (L-глутамин), г/л 29,23

Индекс риска

R24/25Токсично при попадании на кожу и проглатывании
Индекс риска (R)
24/25

Индекс безопасности

S26В случае попадания в глаза немедленно промыть глаза большим количеством воды и обратиться за медицинской помощью
S39Используйте средства защиты глаз/лица
S37/39Надеть соответствующие перчатки и средства защиты глаз/лица
S24/25Избегать попадания на кожу и в глаза
S36/37/39Надеть соответствующую защитную одежду, перчатки и средства защиты глаз/лица
S45В случае аварии или при плохом самочувствии немедленно обратиться за медицинской помощью (по возможности предъявить этикетку материала)
S36Наденьте соответствующую защитную одежду
Индекс безопасности (S)
26-39-37/39-24/25-36/37/39-45-36
  • Глутамин-L, 200 mM, for cell biology, neoFroxx
LC-6007.2
1 кг
По запросу
По запросу

Товар временно недоступен. Аналог: 037102.100 gm, CDH, Индия.


Синонимы: L-2-аминоглутаровая кислота, (S)-2-аминопентандиовая кислота, Glu, (S)-2-Aminopentanedioic acid, L-Glutamic acid.






CAS-No. 56-86-0
Химическая формула C₅H₉NO₄
Молекулярный вес, г/моль 147,13
Содержание основного вещества, % 98,5-100,5
Тяжелые металлы, % не более 0,001
Сульфатная зольность,% не более 0,1
Потери при высушивании (3 ч; 105°C), % не более 0,1
Аммоний, % не более 0,02
Хлориды, % не более 0,02
Сульфаты, % не более 0,02
Железо, % не более 0,001
α20°C/D; 10 %, 1 M HCl, в пересчете на сухое вещество +30,5° - +32,5°
α20°C/D; 10 %, 2 M HCl +31,5° - +32,5°

Индекс риска

R24/25Токсично при попадании на кожу и проглатывании
Индекс риска (R)
24/25

Индекс безопасности

S26В случае попадания в глаза немедленно промыть глаза большим количеством воды и обратиться за медицинской помощью
S39Используйте средства защиты глаз/лица
S37/39Надеть соответствующие перчатки и средства защиты глаз/лица
S24/25Избегать попадания на кожу и в глаза
S36/37/39Надеть соответствующую защитную одежду, перчатки и средства защиты глаз/лица
S45В случае аварии или при плохом самочувствии немедленно обратиться за медицинской помощью (по возможности предъявить этикетку материала)
S36Наденьте соответствующую защитную одежду
Индекс безопасности (S)
26-39-37/39-24/25-36/37/39-45-36
  • Глутаминовая-L кислота, 98,5-100,5 %,pure EP, USP (pharma grade), neoFroxx
LC-10077.2
100 мл
По запросу
По запросу

Товар временно недоступен. Аналог: TC1558M .100 ml, CDH, Индия.



CAS-No. 111-30-8
Химическая формула OHC(CH2)3CHO
Молекулярный вес, г/моль 100,12
Содержание основного вещества, % не менее 50
Внешний вид прозрачная жидкость
pH 3,2-4,2

Индекс риска

R24/25Токсично при попадании на кожу и проглатывании
Индекс риска (R)
24/25

Индекс безопасности

S26В случае попадания в глаза немедленно промыть глаза большим количеством воды и обратиться за медицинской помощью
S39Используйте средства защиты глаз/лица
S37/39Надеть соответствующие перчатки и средства защиты глаз/лица
S24/25Избегать попадания на кожу и в глаза
S36/37/39Надеть соответствующую защитную одежду, перчатки и средства защиты глаз/лица
S45В случае аварии или при плохом самочувствии немедленно обратиться за медицинской помощью (по возможности предъявить этикетку материала)
S36Наденьте соответствующую защитную одежду
Индекс безопасности (S)
26-39-37/39-24/25-36/37/39-45-36
  • Глутаровый альдегид, раствор 50 % pure, NeoFroxx, Германия, 100 мл
LC-10058.2ДУ
1 л
хранение +2...+8°C
По запросу
По запросу

Товар временно недоступен. Аналог: DI815.500 ml, CDH, Индия.





Синонимы: глутардиальдегид, глутаровый диальдегид, пентан-1,5-диал.
CAS-No. 111-30-8
Химическая формула OHC(CH₂)₃CHO
Молекулярный вес, г/моль 100,12
Содержание основного вещества, % Не менее 25
Внешний вид Прозрачная жидкость
Плотность, г/мл (d 20 °C/ 4 °C) 1,059-1,063
Температура плавления, °C -21
Условия хранения Комнатная температура

Индекс риска

R24/25Токсично при попадании на кожу и проглатывании
Индекс риска (R)
24/25

Индекс безопасности

S26В случае попадания в глаза немедленно промыть глаза большим количеством воды и обратиться за медицинской помощью
S39Используйте средства защиты глаз/лица
S37/39Надеть соответствующие перчатки и средства защиты глаз/лица
S24/25Избегать попадания на кожу и в глаза
S36/37/39Надеть соответствующую защитную одежду, перчатки и средства защиты глаз/лица
S45В случае аварии или при плохом самочувствии немедленно обратиться за медицинской помощью (по возможности предъявить этикетку материала)
S36Наденьте соответствующую защитную одежду
Индекс безопасности (S)
26-39-37/39-24/25-36/37/39-45-36
  • Глутаровый альдегид, раствор 25 % pure, NeoFroxx
1392GR025
25 г
транспортировка +2...+8 °C
По запросу
По запросу

Товар временно недоступен. Аналог: 37109.25 gm, CDH, Индия.



Синонимы: γ-L-Глутамил-L-цистеинилглицин, GSH.
CAS-No. 70-18-8
Химическая формула C₁₀H₁₇N₃O₆S
Молекулярный вес, г/моль 307,33
Содержание основного вещества, % не менее 95,0
Внешний вид белый порошок
Специфическое вращение (α20°C/D; 2 % в воде) -16° до -19°
Растворимость (5 % в воде) чистый, прозрачный
Потери при сушке, % не более 0,5
pH (5 % в воде, 20°C) 5,5-7,0
Тяжелые металлы, % не более 0,0005

Индекс риска

R24/25Токсично при попадании на кожу и проглатывании
Индекс риска (R)
24/25

Индекс безопасности

S26В случае попадания в глаза немедленно промыть глаза большим количеством воды и обратиться за медицинской помощью
S39Используйте средства защиты глаз/лица
S37/39Надеть соответствующие перчатки и средства защиты глаз/лица
S24/25Избегать попадания на кожу и в глаза
S36/37/39Надеть соответствующую защитную одежду, перчатки и средства защиты глаз/лица
S45В случае аварии или при плохом самочувствии немедленно обратиться за медицинской помощью (по возможности предъявить этикетку материала)
S36Наденьте соответствующую защитную одежду
Индекс безопасности (S)
26-39-37/39-24/25-36/37/39-45-36
  • Глутатион-L восстановленный, neoFroxx
LC-5938.1
1 кг
По запросу
По запросу

Товар временно недоступен. Аналог: 506250.500 gm, CDH, Индия.



Синонимы: декстроза.
CAS-No. 50-99-7
Химическая формула C6H12O6
Молекулярный вес, г/моль 180,16
Содержание основного вещества, % 97,5-100,2
Внешний вид белый кристаллический порошок
Проводимость, µS/cm не более 20
Хлориды, % не более 0,01
Сульфаты, % не более 0,005
Специфическое вращение (α25/D) 52,5 …53,0°
Тяжелые металлы, % не более 0,0005
Железо, % не более 0,0005
Потери при высушивании, % не более 0,2
Вода, % не более 1
Сульфатная зола, % не более 0,02
Эндотоксины, I.U./g не более 10
TAMC, CFU/g не более 100
TYMC, CFU/g не более 100

Индекс риска

R24/25Токсично при попадании на кожу и проглатывании
Индекс риска (R)
24/25

Индекс безопасности

S26В случае попадания в глаза немедленно промыть глаза большим количеством воды и обратиться за медицинской помощью
S39Используйте средства защиты глаз/лица
S37/39Надеть соответствующие перчатки и средства защиты глаз/лица
S24/25Избегать попадания на кожу и в глаза
S36/37/39Надеть соответствующую защитную одежду, перчатки и средства защиты глаз/лица
S45В случае аварии или при плохом самочувствии немедленно обратиться за медицинской помощью (по возможности предъявить этикетку материала)
S36Наденьте соответствующую защитную одежду
Индекс безопасности (S)
26-39-37/39-24/25-36/37/39-45-36
  • Глюкоза D(+) безводная,  pure EP, USP (pharma grade), NeoFroxx, Германия,1 кг
1179GR500
500 г
5 850, руб.
60,= EUR

Товар временно недоступен. Аналог: 506250.500 gm, CDH, Индия.



Синонимы: декстроза.
CAS-No. 50-99-7
Химическая формула C₆H₁₂O₆
Молекулярный вес, г/моль 180,16
Содержание основного вещества, % не менее 99
Вода, % не более 0,2
α20°C/D +52,5° … +53,3°
Сульфатная зола, % не более 0,1
Хлориды, % не более 0,01
Сульфаты, % не более 0,02
Сульфиты, % не более 0,001
Мышьяк, % не более 0,0001
Кальций, % не более 0,02
Свинец, % не более 0,00005

Индекс риска

R24/25Токсично при попадании на кожу и проглатывании
Индекс риска (R)
24/25

Индекс безопасности

S26В случае попадания в глаза немедленно промыть глаза большим количеством воды и обратиться за медицинской помощью
S39Используйте средства защиты глаз/лица
S37/39Надеть соответствующие перчатки и средства защиты глаз/лица
S24/25Избегать попадания на кожу и в глаза
S36/37/39Надеть соответствующую защитную одежду, перчатки и средства защиты глаз/лица
S45В случае аварии или при плохом самочувствии немедленно обратиться за медицинской помощью (по возможности предъявить этикетку материала)
S36Наденьте соответствующую защитную одежду
Индекс безопасности (S)
26-39-37/39-24/25-36/37/39-45-36
  • Глюкоза-D(+) безводная, для молекулярной биологии, NeoFroxx, Германия, 500 г
LC-5042.1
1 кг
3 705, руб.
38,= EUR

Товар временно недоступен. Аналог: 506260.500 gm, CDH, Индия.



Синоним: декстроза.
CAS-No. 14431-43-7
Химическая формула C₆H₁₂O₆ х H₂O
Молекулярный вес, г/моль 198,17
Содержание основного вещества, % 97,5-102,0
Внешний вид белый кристаллический порошок
Проводимость, µS/cm не более 20
Специфическое вращение (α 25/D) +52.6 … +53.2°
Хлориды, % не более 0,018
Сульфаты, % не более 0,025
Тяжелые металлы, % не более 0,0005
Медь, % не более 0,0025
Цинк, % не более 0,0025
Мышьяк, % не более 0,0001
Вода, % 7,5-9,5
Сульфатная зола (600°C), % не более 0,1
Растворимый крахмал, сульфит (EP), % не более 0,0015

Индекс риска

R24/25Токсично при попадании на кожу и проглатывании
Индекс риска (R)
24/25

Индекс безопасности

S26В случае попадания в глаза немедленно промыть глаза большим количеством воды и обратиться за медицинской помощью
S39Используйте средства защиты глаз/лица
S37/39Надеть соответствующие перчатки и средства защиты глаз/лица
S24/25Избегать попадания на кожу и в глаза
S36/37/39Надеть соответствующую защитную одежду, перчатки и средства защиты глаз/лица
S45В случае аварии или при плохом самочувствии немедленно обратиться за медицинской помощью (по возможности предъявить этикетку материала)
S36Наденьте соответствующую защитную одежду
Индекс безопасности (S)
26-39-37/39-24/25-36/37/39-45-36
  • Глюкоза-D(+) моногидрат, pure EP, USP (pharma grade), NeoFroxx, Германия
1155MG010
10 мг
хранение +2...+8°C
По запросу
По запросу
Товар временно недоступен. Аналог: арт. G1012-10mL, Servicebio, Китай


CAS-No. 28718-90-3
Химическая формула C₆H₁₅N₅ · 2HCl
Молекулярный вес, г/моль 350, 25
Содержание основного вещества, % не менее 98
Внешний вид желтое твердое вещество
Растворимость (1 %, вода) чистый
Эмиссия максимум в воде, λ abs, нм 444 ± 3
Абсорбция максимум в воде, λ abs, нм 343 ± 3 nm
Температура хранения, °C 2-8

Индекс риска

R24/25Токсично при попадании на кожу и проглатывании
Индекс риска (R)
24/25

Индекс безопасности

S26В случае попадания в глаза немедленно промыть глаза большим количеством воды и обратиться за медицинской помощью
S39Используйте средства защиты глаз/лица
S37/39Надеть соответствующие перчатки и средства защиты глаз/лица
S24/25Избегать попадания на кожу и в глаза
S36/37/39Надеть соответствующую защитную одежду, перчатки и средства защиты глаз/лица
S45В случае аварии или при плохом самочувствии немедленно обратиться за медицинской помощью (по возможности предъявить этикетку материала)
S36Наденьте соответствующую защитную одежду
Индекс безопасности (S)
26-39-37/39-24/25-36/37/39-45-36
  • ДАПИ, 98%, для биохимии, NeoFroxx, Германия, 10 мг
1322MG005
5 мг
хранение +2...+8°C, транспортировка +2...+8 °C
По запросу
По запросу
Товар временно недоступен. Аналог: арт. 923800, CDH, Индия


Синонимы: 4',6-диамидин-2-фенилиндол дигидрохлорид.
CAS-No. 28718-90-3
Химическая формула C₁₆H₁₅N₅ х 2HCl
Молекулярный вес, г/моль 350,25
Содержание основного вещества, % не менее 95
Максимум эмиссии, нм 444 ± 3
Максимум поглощения, нм 343 ± 3
Растворимость (1 %, вода) прозрачный
Температура хранения, °C 2-8

Индекс риска

R24/25Токсично при попадании на кожу и проглатывании
Индекс риска (R)
24/25

Индекс безопасности

S26В случае попадания в глаза немедленно промыть глаза большим количеством воды и обратиться за медицинской помощью
S39Используйте средства защиты глаз/лица
S37/39Надеть соответствующие перчатки и средства защиты глаз/лица
S24/25Избегать попадания на кожу и в глаза
S36/37/39Надеть соответствующую защитную одежду, перчатки и средства защиты глаз/лица
S45В случае аварии или при плохом самочувствии немедленно обратиться за медицинской помощью (по возможности предъявить этикетку материала)
S36Наденьте соответствующую защитную одежду
Индекс безопасности (S)
26-39-37/39-24/25-36/37/39-45-36
  • ДАПИ, для молекулярной биологии, NeoFroxx, Германия, 5 мг
LC-10033.2
1 кг
По запросу
По запросу


CAS-No. 9004-54-0
Химическая формула (C₆H₁₀O₅)n
Молекулярный вес, г/моль ~70000
Потери при сушке (5 ч, 105°C), % не более 7
Бактериальные эндотоксины, ед/г не более 16
Сульфатная зола, % не более 0,3
Азотсодержащие соединения, % не более 0,0110
Молекулярная масса (10 % низкая фракция) не менее 15000
Молекулярная масса (10 % высокая фракция) не более 185000
Условия хранения ниже 25 °C

Индекс безопасности

Индекс безопасности (S)
7/8
  • Декстран 70000, neoFroxx
LC-5773.2
1 л
По запросу
По запросу


Синонимы: ДМСО, метилсульфоксид
CAS-No. 67-68-5
Химическая формула C₂H₆OS
Молекулярный вес, г/моль 78,13
Содержание основного вещества, % не менее 99,5
Внешний вид Бесцветная прозрачная жидкость
Показатель преломления n20/D 1,478 – 1,479
Температура застывания, °C 18,3
Плотность 1,100 – 1,104
Вода, % не более 0,2
Диметилсульфон, (ГХ) не более 0,03
Нелетучее вещество не более 0,01

Индекс безопасности

Индекс безопасности (S)
7/8
  • Диметилсульфоксид (ДМСО), 99,5 %, pure EP, USP (pharma grade), NeoFroxx, Германия
1084ML100
100 мл
По запросу
По запросу
Товар временно недоступен. Аналог 926590, CDH, Индия.


Синонимы: метилсульфоксид.
CAS-No. 67-68-5
Химическая формула C₂H₆OS
Молекулярный вес, г/моль 78,13
Содержание основного вещества, % Не менее 99,5
ДНКазы, РНКазы, протеазы Не обнаружено
Свободная кислота, % Не более 0,001
Нелетучие вещества, % Не более 0,001
Общий фосфор, % Не более 0,00001
Общий кремний, % Не более 0,00002
Вода (K.F.), % Не более 0,1
Калиций, % Не более 0,0001
Медь, % Не более 0,00005
Железо, % Не более 0,0001
Калий, % Не более 0,00005
Магний, % Не более 0,00005
Натрий, % Не более 0,0002
Свинец, % Не более 0,00002
Цинк, % Не более 0,00002

Индекс безопасности

Индекс безопасности (S)
7/8
  • Диметилсульфоксид (ДМСО), for molecular biology, neoFroxx
1264ML100
100 мл
По запросу
По запросу
Товар временно недоступен. Аналоги: A-3672,0100, PanReac Applichem; TC1185, CDH, Китай.


Синоним: метилсульфоксид.
CAS-No. 67-68-5
Химическая формула C₂H₆OS
Молекулярный вес, г/моль 78,13
Содержание основного вещества, % не менее 99,5
Пирогенный тест пройден
Свободная кислота, % не более 0,001
Нелетучие вещества, % не более 0,001
Общий фосфор, % не более 0,00001
Общий кремний, % не более 0,00002
Вода (по Карлу Фишеру), % не более 0,1
Кальций, % не более 0,0001
Медь, % не более 0,00005
Железо, % не более 0,0001
Калий, % не более 0,00005
Магний, % не более 0,00005
Натрий, % не более 0,0002
Свинец, % не более 0,00002
Цинк, % не более 0,00002

Индекс безопасности

Индекс безопасности (S)
7/8
  • Диметилсульфоксид (ДМСО), neoFroxx
LC-4207.2
1 л
7 313, руб.
75,= EUR

Товар временно недоступен. Аналог арт. 075595, CDH, Индия.



CAS-No. 68-12-2
Химическая формула C₃H₇NO
Молекулярный вес, г/моль 73,70
Содержание основного вещества, % 99,8
Внешний вид Бесцветная прозрачная жидкость
Идентификация ИК-тест пройден
Плотность при 20/20 0,949-0,952
APHA цвет 10
Кислотность 0,0005 мг-экв/г
Щелочность 0,0005 мг-экв/г
Нелетучие вещества 0,0002 %
Диэтиламин 0,05%
Диметиламин 0,05%
Метанол 0,05%
Вода 0,05 %
Металлы по ICP (ppm):
Серебро 0,05
Алюминий 0,5
Мышьяк 0,05
Золото 0,05
Медь 0,02
Железо 0,1
Никель 0,02
Свинец 0,1
Цинк 0,1

Индекс риска

R61Может причинить вред эмбриону
R20/21Опасно при вдыхании и попадании на кожу
R36Вызывает раздражение глаз
Индекс риска (R)
R10, RE20/21, R36, R61 - 10-61-20/21-36

Индекс безопасности

S45В случае аварии или при плохом самочувствии немедленно обратиться за медицинской помощью (по возможности предъявить этикетку материала)
Индекс безопасности (S)
S45, S53 - 53-45

Индекс опасности

Индекс опасности (H)
H226, H360D, H332, H312, H319

Индекс предупреждения

Индекс предупреждения (P)
P280, P260, P264, P270, P305+P351+P338, P302+P352

Символы опасности

Символы опасности
опасность, опасно для окружающей среды, огнеопасно
  • Диметилформамид-N,N, p.A., NeoFroxx, Германия
1111GR005
5 г
хранение +2...+8°C, транспортировка +2...+8 °C
По запросу
По запросу

Товар временно недоступен. Аналог арт. 928550, CDH, Индия.



Синонимы: реагент Клеланда, 2,3-дигидроксибутан-1,4-дитиол, 1,4-дитио-DLтреит(ол).
CAS-No. 3483-12-3
Химическая формула C₄H₁₀O₂S₂
Молекулярный вес, г/моль 154,25
Содержание основного вещества, % Не менее 99
Внешний вид Кристаллический порошок от белого до почти белого цвета
pH (0,1 M в воде, 20°C) 4,0-6,0
Содержание воды, % Не более 0,5
ДТТ (окисленный) Не более 0,5
Температура плавления, °C 40-44
A (1 см/0,02 M в воде):
283 нм, % Не более 0,05
Температура хранения, °C 2-8

Индекс риска

R61Может причинить вред эмбриону
R20/21Опасно при вдыхании и попадании на кожу
R36Вызывает раздражение глаз
Индекс риска (R)
R10, RE20/21, R36, R61 - 10-61-20/21-36

Индекс безопасности

S45В случае аварии или при плохом самочувствии немедленно обратиться за медицинской помощью (по возможности предъявить этикетку материала)
Индекс безопасности (S)
S45, S53 - 53-45

Индекс опасности

Индекс опасности (H)
H226, H360D, H332, H312, H319

Индекс предупреждения

Индекс предупреждения (P)
P280, P260, P264, P270, P305+P351+P338, P302+P352

Символы опасности

Символы опасности
опасность, опасно для окружающей среды, огнеопасно
  • Дитиотреитол-DL, для биохимии, NeoFroxx, Германия
LC-4073.2
2,5 л
По запросу
По запросу


Синоним: метилен хлорид, метилен дихлорид.
CAS-No. 75-09-2
Химическая формула CH₂Cl₂
Молекулярный вес 84,93 г/моль
Внешний вид прозрачная бесцветная жидкость
Содержание основного вещества, % 99,9
Точка плавления, °C -95
Точка кипения, °C 40
Плотность, г/см³ 1,33

Индекс риска

R61Может причинить вред эмбриону
R20/21Опасно при вдыхании и попадании на кожу
R36Вызывает раздражение глаз
Индекс риска (R)
R10, RE20/21, R36, R61 - 10-61-20/21-36

Индекс безопасности

S45В случае аварии или при плохом самочувствии немедленно обратиться за медицинской помощью (по возможности предъявить этикетку материала)
Индекс безопасности (S)
S45, S53 - 53-45

Индекс опасности

Индекс опасности (H)
H226, H360D, H332, H312, H319

Индекс предупреждения

Индекс предупреждения (P)
P280, P260, P264, P270, P305+P351+P338, P302+P352

Символы опасности

Символы опасности
опасность, опасно для окружающей среды, огнеопасно
  • Дитиотреитол-DL
LC-4293.1
2,5 л
По запросу
По запросу


Синоним: этоксиэтан, этил оксид.
CAS-No. 60-29-7
Химическая формула C₂H₅OC₂H₅
Молекулярный вес 74,12 г/моль
Внешний вид бесцветная прозрачная жидкость
Содержание основного вещества 99,5 %
Вода не более 500 ppm
Кислотность не более 0,0005 мг-экв/г
Нелетучие вещества, % не более 0,0005
Этанол, % 1
Перекись водорода, % не более 5 ppm
Отфильтровано 0,22 мкм (микрон) Отфильтровано
Коэффициент пропускания при 230 нм не менее 70 %
Коэффициент пропускания при 240 нм не менее 80 %
Коэффициент пропускания при 250 нм не менее 90 %
Коэффициент пропускания при 260 нм не менее 95 %
Коэффициент пропускания при 280 нм не менее 99 %

Индекс риска

R61Может причинить вред эмбриону
R20/21Опасно при вдыхании и попадании на кожу
R36Вызывает раздражение глаз
Индекс риска (R)
R10, RE20/21, R36, R61 - 10-61-20/21-36

Индекс безопасности

S45В случае аварии или при плохом самочувствии немедленно обратиться за медицинской помощью (по возможности предъявить этикетку материала)
Индекс безопасности (S)
S45, S53 - 53-45

Индекс опасности

Индекс опасности (H)
H226, H360D, H332, H312, H319

Индекс предупреждения

Индекс предупреждения (P)
P280, P260, P264, P270, P305+P351+P338, P302+P352

Символы опасности

Символы опасности
опасность, опасно для окружающей среды, огнеопасно
  • Дитиотреитол-DL
1266ML025
25 мл
хранение +2...+8°C, транспортировка +2...+8 °C
По запросу
По запросу


Синонимы: диэтилдикарбонат, диэтилоксидиформиат
CAS-No. 1609-47-8
Химическая формула C₆H₁₀O₅
Молекулярный вес, г/моль 162,14
Содержание основного вещества, % не менее 97
Температура хранения, °C 2-8

Индекс риска

R61Может причинить вред эмбриону
R20/21Опасно при вдыхании и попадании на кожу
R36Вызывает раздражение глаз
Индекс риска (R)
R10, RE20/21, R36, R61 - 10-61-20/21-36

Индекс безопасности

S45В случае аварии или при плохом самочувствии немедленно обратиться за медицинской помощью (по возможности предъявить этикетку материала)
Индекс безопасности (S)
S45, S53 - 53-45

Индекс опасности

Индекс опасности (H)
H226, H360D, H332, H312, H319

Индекс предупреждения

Индекс предупреждения (P)
P280, P260, P264, P270, P305+P351+P338, P302+P352

Символы опасности

Символы опасности
опасность, опасно для окружающей среды, огнеопасно
  • Диэтилпирокарбонат (DEPC), для биохимии, NeoFroxx, Германия, 25 мл
LC-10003.1
500 г
35 363, руб.
35 363, руб. RUB


CAS-No. 9000-70-8
Внешний вид порошок
Желатинизация, Bloom 128-192
Общее количество аэробных микробов не более 1 000 КОЕ/г
pH (1 % в воде, 55°C) 3,8-7,6
Проводимость (1 % в воде, 30°C) не более 1 мСм/см
Потери при высушивании, % не более 15
Пероксиды, % не более 0,001
Сернистый газ, % не более 0,005
Железо, % не более 0,003
Цинк, % не более 0,003
Хром, % не более 0,001

Индекс риска

R61Может причинить вред эмбриону
R20/21Опасно при вдыхании и попадании на кожу
R36Вызывает раздражение глаз
Индекс риска (R)
R10, RE20/21, R36, R61 - 10-61-20/21-36

Индекс безопасности

S45В случае аварии или при плохом самочувствии немедленно обратиться за медицинской помощью (по возможности предъявить этикетку материала)
Индекс безопасности (S)
S45, S53 - 53-45

Индекс опасности

Индекс опасности (H)
H226, H360D, H332, H312, H319

Индекс предупреждения

Индекс предупреждения (P)
P280, P260, P264, P270, P305+P351+P338, P302+P352

Символы опасности

Символы опасности
опасность, опасно для окружающей среды, огнеопасно
  • Диэтилпирокарбонат (DEPC)
1668MG050
50 мг
транспортировка +2...+8 °C
17 551, руб.
180,= EUR
1460KG001
1 кг
По запросу
По запросу


Синонимы: 1,3-Диаза-2,4-циклопентадиен, глиоксалин
CAS-No. 288-32-4
Химическая формула C₃H₄N₂
Молекулярный вес, г/моль 68,08
Содержание основного вещества, % не менее 99
Внешний вид Кристаллический порошок от белого до бледно-желтого цвета
Вода, % не более 0,5
Хлориды, % не более 0,05
Тяжелые металлы, % не более 0,001
Сульфаты, % не более 0,05
Температура плавления, °C 87-91

Индекс риска

R61Может причинить вред эмбриону
R20/21Опасно при вдыхании и попадании на кожу
R36Вызывает раздражение глаз
Индекс риска (R)
R10, RE20/21, R36, R61 - 10-61-20/21-36

Индекс безопасности

S45В случае аварии или при плохом самочувствии немедленно обратиться за медицинской помощью (по возможности предъявить этикетку материала)
Индекс безопасности (S)
S45, S53 - 53-45

Индекс опасности

Индекс опасности (H)
H226, H360D, H332, H312, H319

Индекс предупреждения

Индекс предупреждения (P)
P280, P260, P264, P270, P305+P351+P338, P302+P352

Символы опасности

Символы опасности
опасность, опасно для окружающей среды, огнеопасно
  • Имидазол для биохимии, NeoFroxx, Германия
LC-10282.1
25 кг
По запросу
По запросу


Синонимы: 1,2,3,4,5,6-гексагидроксициклогексан, изо-инозитол, мезо-инозитол.
CAS-No. 87-89-8
Химическая формула C₆H₁₂O₆
Молекулярный вес, г/моль 180,16
Содержание основного вещества, % 97
Точка плавления, °С 224-227
Потери при высушивании,% Не более 0,5
Остаток при прокаливании, % Не более 0,1
Хлориды, ppm Не более 50
Сульфаты, ppm Не более 60
Железо, ppm Не более 5
Тяжелые металлы, ppm Не более 25
Условия хранения Комнатная температура
Индекс безопасности (S) 22-24/25

Индекс безопасности

S22Не вдыхать пыль
S24/25Избегать попадания на кожу и в глаза
Индекс безопасности (S)
22-24/25
  • Инозит-мезо (инозитол), 97 %, pure USP, NF (pharma grade), neoFroxx
1122GR005
1122GR005
5 г
хранение -20°C, транспортировка -20°C
По запросу
По запросу
1122GR025
25 г
хранение -20°C, транспортировка -20°C
По запросу
По запросу


Синоним: изопропил β-D-тиогалактопиранозид.
CAS-No. 367-93-1
Химическая формула C₉H₁₈O₅S
Молекулярный вес, г/моль 238,30
Содержание основного вещества, % не менее 99
Внешний вид белый кристаллический порошок
pH (5 % в воде, 20°C) 5,0-7,0
Вода, % не более 1,0
Температура плавления, °C 110-114
Специфическое вращение -25° … -33°
Диоксан, % не более 0,0001
Условия хранения, °C -20

Индекс безопасности

S22Не вдыхать пыль
S24/25Избегать попадания на кожу и в глаза
Индекс безопасности (S)
22-24/25
  • ИПТГ (Изопропил-бета-D-тиогалактопиранозид), для биохимии, NeoFroxx, Германия
1140GR001
1140GR001
1 г
хранение -20°C
По запросу
По запросу
1140GR005
5 г
хранение -20°C
По запросу
По запросу
1140GR025
25 г
транспортировка -20°C
По запросу
По запросу
1140GR100
100 г
хранение -20°C
По запросу
По запросу


Синонимы: изопропил β-D-тиогалактопиранозид.
CAS-No. 367-93-1
Химическая формула C₉H₁₈O₅S
Молекулярный вес, г/моль 238,30
Содержание основного вещества, % 99,5-100,5
Внешний вид белый кристаллический порошок
Вода, % не более 1
α20°C/D -28.5° … -34.5°
Точка плавления, °C 110-114

Индекс безопасности

S22Не вдыхать пыль
S24/25Избегать попадания на кожу и в глаза
Индекс безопасности (S)
22-24/25
  • ИПТГ (Изопропил-бета-D-тиогалактопиранозид)
LC-4784.3
500 г
По запросу
По запросу
LC-4831.3
1 кг
По запросу
По запросу
Синоним(ы): калий уксуснокислый, ацетат калия, Potassium acetate.


CAS-No. 127-08-2
Химическая формула CH₃COOK
Молекулярный вес, г/моль 98,15
Содержание основного вещества, % 99-101
Внешний вид белый кристаллический порошок
pH 5%-го раствора 7,5-9,0
Нерастворимость в воде, % 0,025
Потери при сушке при 105°C 3,0
Хлориды,% 0,01
Фосфаты, % 0,005
Сульфаты, % 0,01%
Тяжелые металлы, % 0,0004%
Условия хранения комнатная температура

Индекс риска

R36/37/38Раздражает глаза, органы дыхания и кожу
R25Токсично при проглатывании
R23/24/25Токсично при вдыхании, попадании на кожу и проглатывании
Индекс риска (R)
36/37/38-25-23/24/25-21

Индекс безопасности

S26В случае попадания в глаза немедленно промыть глаза большим количеством воды и обратиться за медицинской помощью
S36Наденьте соответствующую защитную одежду
S24/25Избегать попадания на кожу и в глаза
S45В случае аварии или при плохом самочувствии немедленно обратиться за медицинской помощью (по возможности предъявить этикетку материала)
Индекс безопасности (S)
26-36-24/25-45-36/37/39
  • Калий ацетат, 99-101 %, pure EP (pharma grade), neoFroxx
LC-5067.1
1 кг
По запросу
По запросу


Синонимы: фосфат калия, моноосновный фосфат калия.
CAS-No. 7778-77-0
Химическая формула KH₂PO₄
Молекулярный вес, г/моль 136,09
Содержание основного вещества, % не менее 99,5
Внешний вид белый кристаллический порошок
pH 4,2-4,5
Потери при сушке, % не более 1
Хлориды, % не более 0,0005
Сульфаты, % не более 0,003
Медь, % не более 0,0005
Железо, % не более 0,001
Натрий, % не более 0,02
Свинец, % не более 0,001

Индекс риска

R36/37/38Раздражает глаза, органы дыхания и кожу
R25Токсично при проглатывании
R23/24/25Токсично при вдыхании, попадании на кожу и проглатывании
Индекс риска (R)
36/37/38-25-23/24/25-21

Индекс безопасности

S26В случае попадания в глаза немедленно промыть глаза большим количеством воды и обратиться за медицинской помощью
S36Наденьте соответствующую защитную одежду
S24/25Избегать попадания на кожу и в глаза
S45В случае аварии или при плохом самочувствии немедленно обратиться за медицинской помощью (по возможности предъявить этикетку материала)
Индекс безопасности (S)
26-36-24/25-45-36/37/39
  • Калий фосфорнокислый 1-зам., p.A., 99,5 %, NeoFroxx, Германия
LC-10478.1
1 кг
По запросу
По запросу
LC-5916.1
1 кг
По запросу
По запросу


Синонимы: хлорид калия, калий хлорид.
CAS-No. 7447-40-7
Химическая формула KCl
Молекулярный вес, г/моль 74,56
Содержание основного вещества, % не менее 99
Внешний вид белый кристаллический порошок
Потери при высушивании (2 часа, 130 °C), % не более 0,5
Бромиды, % не более 0,05
Йодиды, % не более 0,002
Сульфаты, % не более 0,005
Мышьяк, % не более 0,00005
Барий, % не более 0,001
Кальций, % не более 0,001
Железо, % не более 0,0005
Магний, % не более 0,001
Натрий, % не более 0,02
Тяжелые металлы, % не более 0,0005

Индекс риска

R36/37/38Раздражает глаза, органы дыхания и кожу
R25Токсично при проглатывании
R23/24/25Токсично при вдыхании, попадании на кожу и проглатывании
Индекс риска (R)
36/37/38-25-23/24/25-21

Индекс безопасности

S26В случае попадания в глаза немедленно промыть глаза большим количеством воды и обратиться за медицинской помощью
S36Наденьте соответствующую защитную одежду
S24/25Избегать попадания на кожу и в глаза
S45В случае аварии или при плохом самочувствии немедленно обратиться за медицинской помощью (по возможности предъявить этикетку материала)
Индекс безопасности (S)
26-36-24/25-45-36/37/39
  • Калий хлористый, p.A., NeoFroxx, Германия
LC-4505.1
1 кг
По запросу
По запросу


Синонимы: двухосновный фосфат калия, дикалийфосфат
CAS-No. 7758-11-4
Химическая формула HK₂O₄P
Молекулярный вес, г/моль 174,18
Содержание основного вещества, % 98,0-101,0
pH 8,7-9,4
Хлориды, % не более 0,02
Фториды, % не более 0,001
Сульфаты, % не более 0,1
Тяжелые металлы, % не более 0,001
Алюминий, % не более 0,0005
Мышьяк, % не более 0,0001
Кадмий, % не более 0,0001
Железо, % не более 0,01
Ртуть, % не более 0,0001
Натрий, % не более 1,5
Олово, % не более 0,0001
Потери при высушивании, % не более 2

Индекс риска

R36/37/38Раздражает глаза, органы дыхания и кожу
R25Токсично при проглатывании
R23/24/25Токсично при вдыхании, попадании на кожу и проглатывании
Индекс риска (R)
36/37/38-25-23/24/25-21

Индекс безопасности

S26В случае попадания в глаза немедленно промыть глаза большим количеством воды и обратиться за медицинской помощью
S36Наденьте соответствующую защитную одежду
S24/25Избегать попадания на кожу и в глаза
S45В случае аварии или при плохом самочувствии немедленно обратиться за медицинской помощью (по возможности предъявить этикетку материала)
Индекс безопасности (S)
26-36-24/25-45-36/37/39
  • Калия фосфат 2-зам. б/в, pure EP (pharma grade), 1 кг, NeoFroxx , Германия, 1 кг
1186KG001
1 кг
По запросу
По запросу


CAS-No. 10035-04-8
Химическая формула CaCl₂ х 2H₂O
Молекулярный вес, г/моль 147,02
Содержание основного вещества, % не менее 99,5
Внешний вид белый кристаллический порошок
pH (5 % в воде, 25°C) 4,5-9,0
Тяжелые металлы, % не более 0,0005
Сульфаты, % не более 0,0025
A (1см/1 M)
260 нм не более 0,015
280 нм не более 0,01

Индекс риска

R24/25Токсично при попадании на кожу и проглатывании
Индекс риска (R)
24/25

Индекс безопасности

S26В случае попадания в глаза немедленно промыть глаза большим количеством воды и обратиться за медицинской помощью
S39Используйте средства защиты глаз/лица
S37/39Надеть соответствующие перчатки и средства защиты глаз/лица
S24/25Избегать попадания на кожу и в глаза
S36/37/39Надеть соответствующую защитную одежду, перчатки и средства защиты глаз/лица
S45В случае аварии или при плохом самочувствии немедленно обратиться за медицинской помощью (по возможности предъявить этикетку материала)
Индекс безопасности (S)
26-39-37/39-24/25-36/37/39-45-36
  • Кальций хлорид 2-водный, 99,5%, для биохимии, Neofroxx
1189GR100
100 г
хранение +2...+8°C
8 776, руб.
90,= EUR


Синонимы: витамин В5, гемикальциевая соль D-пантотеновой кислоты, кальциевая соль 3-[(2R)-2,4-Дигидрокси-3,3-диметилбутанамидо]пропановой кислоты.
CAS-No. 137-08-6
Химическая формула C₁8H₃₂CaN₂O₁
Молекулярный вес 476,54 г/моль
Содержание основного вещества, % не менее 98,0–101,0
Внешний вид белый порошок
Растворимость (5 % в воде) чистый, прозрачный
pH (5 % в воде) 6,8–8,0
Специфическое вращение (5 % в воде, сухое вещество) +25,0° to +27,5°
3-Аминопропионовая кислота, % не более 0,5
Хлориды, % не более 0,02
Тяжелые металлы (свинец), % не более 0,002
Потери при сушке, % не более 3

Индекс риска

R24/25Токсично при попадании на кожу и проглатывании
Индекс риска (R)
24/25

Индекс безопасности

S26В случае попадания в глаза немедленно промыть глаза большим количеством воды и обратиться за медицинской помощью
S39Используйте средства защиты глаз/лица
S37/39Надеть соответствующие перчатки и средства защиты глаз/лица
S24/25Избегать попадания на кожу и в глаза
S36/37/39Надеть соответствующую защитную одежду, перчатки и средства защиты глаз/лица
S45В случае аварии или при плохом самочувствии немедленно обратиться за медицинской помощью (по возможности предъявить этикетку материала)
Индекс безопасности (S)
26-39-37/39-24/25-36/37/39-45-36
  • Кальций-D пантотенат, 98,0 – 101,0 %, для биохимии, Neofroxx, Германия
1377ML100
100 мл
17 454, руб.
179,= EUR
1162GR010
1162GR010
10 г
хранение +2...+8°C
По запросу
По запросу
1162GR025
25 г
хранение +2...+8°C, транспортировка +2...+8 °C
По запросу
По запросу


CAS-No. 25389-94-0
Химическая формула C₁₈H₃₆N₄O₁₁× H₂SO₄
Молекулярный вес, г/моль 582,58
Содержание основного вещества, I.U./мг не менее 750
Внешний вид белый кристаллический порошок
α20°C/D; 1 %, H2O +112° … +123°
pH 6,5-8,5
Потери при сушке (60°C), % не более 1,5
Канамицин В, % не более 4
Условия хранения, °C 2-8

Индекс риска

R24/25Токсично при попадании на кожу и проглатывании
Индекс риска (R)
24/25

Индекс безопасности

S26В случае попадания в глаза немедленно промыть глаза большим количеством воды и обратиться за медицинской помощью
S39Используйте средства защиты глаз/лица
S37/39Надеть соответствующие перчатки и средства защиты глаз/лица
S24/25Избегать попадания на кожу и в глаза
S36/37/39Надеть соответствующую защитную одежду, перчатки и средства защиты глаз/лица
S45В случае аварии или при плохом самочувствии немедленно обратиться за медицинской помощью (по возможности предъявить этикетку материала)
Индекс безопасности (S)
26-39-37/39-24/25-36/37/39-45-36
  • Канамицина сульфат, для биохимии, NeoFroxx, Германия
LC-10209.1
5 г
По запросу
По запросу


Синонимы: фурфуриладенин, 6-фурфуриламинопурин.
CAS-No. 525-79-1
Химическая формула C₁₀7H₉N₅O
Молекулярный вес, г/моль 215,22
Содержание основного вещества, % 99-102
Внешний вид белые или бежевые кристаллы или порошок
Температура плавления, °C 264-271
Растворимость около 100 мг/мл в разбавленной HCl
Температура хранения, °C +4

Индекс риска

R24/25Токсично при попадании на кожу и проглатывании
Индекс риска (R)
24/25

Индекс безопасности

S26В случае попадания в глаза немедленно промыть глаза большим количеством воды и обратиться за медицинской помощью
S39Используйте средства защиты глаз/лица
S37/39Надеть соответствующие перчатки и средства защиты глаз/лица
S24/25Избегать попадания на кожу и в глаза
S36/37/39Надеть соответствующую защитную одежду, перчатки и средства защиты глаз/лица
S45В случае аварии или при плохом самочувствии немедленно обратиться за медицинской помощью (по возможности предъявить этикетку материала)
Индекс безопасности (S)
26-39-37/39-24/25-36/37/39-45-36
  • Кинетин 99%, pure, NeoFroxx, Германия, 5 г
LC-7050.1
1 л
По запросу
По запросу


Синоним: диметилбензол.
CAS-No. 1330-20-7
Химическая формула C₈H₁₀
Молекулярный вес, г/моль 106,17
Содержание основного вещества, % не менее 98
Вода, % не более 0,05
Внешний вид бесцветная прозрачная жидкость
Кислотность, мг-экв/г не более 0,0003
Щелочность, мг-экв/г не более 0,0003
Тиофен,% не более 0,0005
Медь, % не более 0,00002
Железо, % не более 0,00005
Никель, % не более 0,00002
Свинец, % не более 0,00002
Нелетучие вещества, % 0,01

Индекс риска

R24/25Токсично при попадании на кожу и проглатывании
Индекс риска (R)
24/25

Индекс безопасности

S26В случае попадания в глаза немедленно промыть глаза большим количеством воды и обратиться за медицинской помощью
S39Используйте средства защиты глаз/лица
S37/39Надеть соответствующие перчатки и средства защиты глаз/лица
S24/25Избегать попадания на кожу и в глаза
S36/37/39Надеть соответствующую защитную одежду, перчатки и средства защиты глаз/лица
S45В случае аварии или при плохом самочувствии немедленно обратиться за медицинской помощью (по возможности предъявить этикетку материала)
Индекс безопасности (S)
26-39-37/39-24/25-36/37/39-45-36
  • Ксилол, 98 %, (смесь изомеров), pure, neoFroxx
LC-7005.2
2,5 л
По запросу
По запросу


CAS-No. 1330-20-7
Химическая формула C₈H₁₀
Молекулярный вес 106,17 г/моль
Внешний вид бесцветная прозрачная жидкость
Содержание основного вещества, % 98
Вода, % не боле 0,03
APHA цвет 10
Кислотность не более 0,00025 мг-экв/г
Щелочность не более 0,00025 мг-экв/г
Плотность при 20/4 0,862 – 0,869
Остаток после выпаривания, % не более 0,001
Бензол (ГХ), % не более 0,1
Толуол (ГХ), % не более 1
Алюминий, % не более 0,00005
Бор, % не более 0,000002
Барий, % не более 0,00001
Кальций, % не более 0,00005
Кадмий, % не более 0,000005
Хром, % не более 0,000002
Кобальт, % не более 0,000002
Медь, % не более 0,000002
Железо, % не более 0,00001
Магний, % не более 0,00001
Марганец, % не более 0,000002
Никель, % не более 0,000002
Олово, % не более 0,00001
Свинец, % не более 0,00001
Цинк, % не более 0,00001
Соединения серы, % не более 0,003

Индекс риска

R24/25Токсично при попадании на кожу и проглатывании
Индекс риска (R)
24/25

Индекс безопасности

S26В случае попадания в глаза немедленно промыть глаза большим количеством воды и обратиться за медицинской помощью
S39Используйте средства защиты глаз/лица
S37/39Надеть соответствующие перчатки и средства защиты глаз/лица
S24/25Избегать попадания на кожу и в глаза
S36/37/39Надеть соответствующую защитную одежду, перчатки и средства защиты глаз/лица
S45В случае аварии или при плохом самочувствии немедленно обратиться за медицинской помощью (по возможности предъявить этикетку материала)
Индекс безопасности (S)
26-39-37/39-24/25-36/37/39-45-36
  • Ксилол
1452GR100
100 г
По запросу
По запросу
LC-4586.3
250 г
По запросу
По запросу


Синоним: L-2,6-диамино-н-гексановый эфир - моногидрат.
CAS-No. 39665-12-8
Химическая формула C₆H₁₄N₂O₂×H₂O
Молекулярный вес, г/моль 164,20
Содержание основного вещества, % 98,5 – 101,5
Вода, % 10,0-11,5
pH (2,5 % в воде, 20°C) 9,0-10,5
Тяжелые металлы (такие как Pb),% не более 0,001
Сульфатная зольность,% не более 0,1
Нингидрин, % не более 0,5
Аммиак,% не более 0,02
Хлориды, % не более 0,03
Сульфаты, % не более 0,02
Железо, % не более 0,001
α25°C/D; 8 %, 6 M HCl +25,5° - +27,0°
Условия хранения комнатная температура

Индекс риска

R24/25Токсично при попадании на кожу и проглатывании
Индекс риска (R)
24/25

Индекс безопасности

S26В случае попадания в глаза немедленно промыть глаза большим количеством воды и обратиться за медицинской помощью
S39Используйте средства защиты глаз/лица
S37/39Надеть соответствующие перчатки и средства защиты глаз/лица
S24/25Избегать попадания на кожу и в глаза
S36/37/39Надеть соответствующую защитную одежду, перчатки и средства защиты глаз/лица
S45В случае аварии или при плохом самочувствии немедленно обратиться за медицинской помощью (по возможности предъявить этикетку материала)
Индекс безопасности (S)
26-39-37/39-24/25-36/37/39-45-36
  • Лизин-L моногидрат, neoFroxx
1256GR001
1256GR001
1 г
хранение -20°C
6 728, руб.
69,= EUR
1256GR010
10 г
хранение -20°C, транспортировка -20°C
39 003, руб.
400,= EUR


Синонимы: [E.C. 3.2.1.17], Мурамидаза
CAS-No. 9001-63-2
Молекулярный вес, г/моль ~14 400
Внешний вид Порошок от белого до почти белого цвета
Активность, ед/мг не менее 20 000
Вода, % не более 8
Сульфатная зола, % не более 2
Условия хранения -20 ºС

Индекс риска

R24/25Токсично при попадании на кожу и проглатывании
Индекс риска (R)
24/25

Индекс безопасности

S26В случае попадания в глаза немедленно промыть глаза большим количеством воды и обратиться за медицинской помощью
S39Используйте средства защиты глаз/лица
S37/39Надеть соответствующие перчатки и средства защиты глаз/лица
S24/25Избегать попадания на кожу и в глаза
S36/37/39Надеть соответствующую защитную одежду, перчатки и средства защиты глаз/лица
S45В случае аварии или при плохом самочувствии немедленно обратиться за медицинской помощью (по возможности предъявить этикетку материала)
Индекс безопасности (S)
26-39-37/39-24/25-36/37/39-45-36
  • Лизоцим, для молекулярной биологии, NeoFroxx, Германия
LC-6594.1
1 кг
6 826, руб.
70,= EUR


CAS-No. 77-92-9
Химическая формула C₆H₈O₇
Молекулярный вес, г/моль 192,13
Содержание основного вещества, % 99,5-100,5
Внешний вид белый порошок
Вода, % не более 0,5
Сульфаты, ppm не более 50
Тяжелые металлы, ppm не более 5
Ртуть, ppm не более 1
Мышьяк, ppm не более 1
Алюминий, ppm не более 0,2
Сульфатная зола (600 °C), % не более 0,05
Оксалаты, ppm не более 100
Бактериальные эндотоксины, EU/мг не более 0,5

Индекс риска

R24/25Токсично при попадании на кожу и проглатывании
Индекс риска (R)
24/25

Индекс безопасности

S26В случае попадания в глаза немедленно промыть глаза большим количеством воды и обратиться за медицинской помощью
S39Используйте средства защиты глаз/лица
S37/39Надеть соответствующие перчатки и средства защиты глаз/лица
S24/25Избегать попадания на кожу и в глаза
S36/37/39Надеть соответствующую защитную одежду, перчатки и средства защиты глаз/лица
S45В случае аварии или при плохом самочувствии немедленно обратиться за медицинской помощью (по возможности предъявить этикетку материала)
Индекс безопасности (S)
26-39-37/39-24/25-36/37/39-45-36
  • Лимонная кислота безводная, порошок, pure EP, USP (pharma grade), NeoFroxx, Германия
LC-4501.4
500 г
По запросу
По запросу
Товар временно недоступен. Аналог: 568325, CDH, Индия.

Синонимы: английская соль (сульфат магния), гептагидрат сульфата магния, Epsom salt (magnesium sulfate), Magnesium sulfate heptahydrate, Magnesium sulfate heptahydrate.


CAS-No. 10034-99-8
Химическая формула MgSO₄ х 7H₂O
Молекулярный вес, г/моль 246,48
Содержание основного вещества, % 99,0-100,5
Внешний вид Белый кристаллический порошок
pH 5,0-8,2
Потери при сушке при 450°C, % 48,0-52,00
Тяжелые металлы, % не более 0,0005
Мышьяк, % не более 0,0002
Кальций, % не более 0,01
Железо, % не более 0,002
Селен, % не более 0,001
Хлориды, % не более 0,014
TAMC, CFU/g не более 100
TYMC, CFU/g не более 100

Индекс риска

R24/25Токсично при попадании на кожу и проглатывании
Индекс риска (R)
24/25

Индекс безопасности

S26В случае попадания в глаза немедленно промыть глаза большим количеством воды и обратиться за медицинской помощью
S39Используйте средства защиты глаз/лица
S37/39Надеть соответствующие перчатки и средства защиты глаз/лица
S24/25Избегать попадания на кожу и в глаза
S36/37/39Надеть соответствующую защитную одежду, перчатки и средства защиты глаз/лица
S45В случае аварии или при плохом самочувствии немедленно обратиться за медицинской помощью (по возможности предъявить этикетку материала)
Индекс безопасности (S)
26-39-37/39-24/25-36/37/39-45-36
  • Магний сульфат 7-водн. , pure EP, USP (pharma grade), NeoFroxx, Германия
LC-4758.3
500 г
По запросу
По запросу
Товар временнно недоступен. Аналог: 027849.500 gm, CDH, Индия.


Синонимы: пентагидрат моносульфата меди, пентагидрат медного купороса.


CAS-No. 7758-99-8
Химическая формула CuSO₄ · 5H₂O
Молекулярный вес, г/моль 249,68
Содержание основного вещества, % 99-101
Внешний вид синий кристаллический порошок
pH (50 г/л в воде, 20°C) не более 3,8
Нерастворимые вещества в H₂SO4, % не более 0,005
Хлориды, % не более 0,001
Соединения азота, N не более 0,001
Мышьяк, % не более 0,0001
Кальций, % не более 0,05
Кадмий, % не более 0,01
Кобальт, % не более 0,01
Хром, % не более 0,005
Железо, % не более 0,03
Ртуть, % не более 0,005
Калий, % не более 0,01
Магний, % не более 0,02
Марганец, % не более 0,005
Натрий, % не более 0,005
Никель, % не более 0,005
Свинец, % не более 0,05
Кремний,% не более 0,005
Титан, % не более 0,005
Цинк, % не более 0,3

Индекс риска

R24/25Токсично при попадании на кожу и проглатывании
Индекс риска (R)
24/25

Индекс безопасности

S26В случае попадания в глаза немедленно промыть глаза большим количеством воды и обратиться за медицинской помощью
S39Используйте средства защиты глаз/лица
S37/39Надеть соответствующие перчатки и средства защиты глаз/лица
S24/25Избегать попадания на кожу и в глаза
S36/37/39Надеть соответствующую защитную одежду, перчатки и средства защиты глаз/лица
S45В случае аварии или при плохом самочувствии немедленно обратиться за медицинской помощью (по возможности предъявить этикетку материала)
Индекс безопасности (S)
26-39-37/39-24/25-36/37/39-45-36
  • Медь сульфат (II) 5-водн, p.A. 99-101%, NeoFroxx, Германия
1414ML100
100 мл
хранение +2...+8°C
По запросу
По запросу
Товар временно недоступен. Аналог: 580225.100 ml, CDH, Индия.


Синоним: 2-меркаптоэтанол.



CAS-No. 60-24-2
Химическая формула C₂H₆OS
Молекулярный вес, г/моль 78,13
Содержание основного вещества, % не менее 99
Внешний вид прозрачная бесцветная жидкость
Вода, % не более 0,5
Плотность, (d 20°C/4°C), г/мл 1,12
Температура кипения, °C 157
Температура плавления, °C -40
Показатель преломления (20°C) 1,500-1,502

Индекс риска

R24/25Токсично при попадании на кожу и проглатывании
Индекс риска (R)
24/25

Индекс безопасности

S26В случае попадания в глаза немедленно промыть глаза большим количеством воды и обратиться за медицинской помощью
S39Используйте средства защиты глаз/лица
S37/39Надеть соответствующие перчатки и средства защиты глаз/лица
S24/25Избегать попадания на кожу и в глаза
S36/37/39Надеть соответствующую защитную одежду, перчатки и средства защиты глаз/лица
S45В случае аварии или при плохом самочувствии немедленно обратиться за медицинской помощью (по возможности предъявить этикетку материала)
Индекс безопасности (S)
26-39-37/39-24/25-36/37/39-45-36
  • Меркаптоэтанол, 99%, для молекулярной биологии, NeoFroxx, Германия, 100 мл
1425ML100
100 мл
хранение +2...+8°C, транспортировка +2...+8 °C
По запросу
По запросу
Товар временно недоступен. Аналог: TC1152.100ml, CDH, Индия.


Синоним: 2-меркаптоэтанол.


CAS-No. 60-24-2
Химическая формула C₂H₆OS
Молекулярный вес, г/моль 78,13
Содержание основного вещества, % не менее 99
Внешний вид прозрачная бесцветная жидкость
Вода, % не более 0,5
Плотность, (d 20°C/4°C), г/мл 1,12
Температура кипения, °C 157
Температура плавления, °C -40
Показатель преломления (20°C) 1,500-1,502

Индекс риска

R24/25Токсично при попадании на кожу и проглатывании
Индекс риска (R)
24/25

Индекс безопасности

S26В случае попадания в глаза немедленно промыть глаза большим количеством воды и обратиться за медицинской помощью
S39Используйте средства защиты глаз/лица
S37/39Надеть соответствующие перчатки и средства защиты глаз/лица
S24/25Избегать попадания на кожу и в глаза
S36/37/39Надеть соответствующую защитную одежду, перчатки и средства защиты глаз/лица
S45В случае аварии или при плохом самочувствии немедленно обратиться за медицинской помощью (по возможности предъявить этикетку материала)
Индекс безопасности (S)
26-39-37/39-24/25-36/37/39-45-36
  • Меркаптоэтанол, для биохимии, NeoFroxx, Германия, 100 мл
LC-10221.1
LC-10221.1
500 мл
По запросу
По запросу
LC-10221.2
1 л
17 551, руб.
180,= EUR


Синонимы: 2-гидроксипропановая кислота
CAS-No. 79-33-4
Химическая формула C₃H₆O₂
Молекулярный вес, г/моль 90,08
Содержание основного вещества, % 88-92
Плотность, кг/л 1,20-1,21
Хлориды, % не более 0,002
Сульфаты, % не более 0,002
Тяжелые металлы, % не более 0, 001
Кальций, % не более 0, 02

Индекс риска

R24/25Токсично при попадании на кожу и проглатывании
Индекс риска (R)
24/25

Индекс безопасности

S26В случае попадания в глаза немедленно промыть глаза большим количеством воды и обратиться за медицинской помощью
S39Используйте средства защиты глаз/лица
S37/39Надеть соответствующие перчатки и средства защиты глаз/лица
S24/25Избегать попадания на кожу и в глаза
S36/37/39Надеть соответствующую защитную одежду, перчатки и средства защиты глаз/лица
S45В случае аварии или при плохом самочувствии немедленно обратиться за медицинской помощью (по возможности предъявить этикетку материала)
Индекс безопасности (S)
26-39-37/39-24/25-36/37/39-45-36
  • Молочная кислота-L(+), 90%, pure EP, BP (pharma grade), NeoFroxx, Германия
LC-10007.1
LC-10007.1
500 г
2 633, руб.
27,= EUR
LC-10007.5
1 кг
По запросу
По запросу
LC-10007.3
5 кг
По запросу
По запросу
LC-10007.2
25 кг
По запросу
По запросу
Товар временно недоступен. Аналог: TC1180M, CDH, Индия; 671815.25 kg, CDH, Индия.


Синонимы: карбамид, карбонилдиамид.


CAS-No. 57-13-6
Химическая формула CH₄N₂O
Молекулярный вес, г/моль 60,06
Внешний вид кристаллы белого цвета
Содержание основного вещества, % 99-100,5
Потери при высушивании,% не более 1
Температура плавления, °C 132,5 – 134,5
Остаток при прокаливании, % не более 0,002
Растворимость, г/л 1000
Нерастворимые вещества, % не более 0,01
Аммоний, % не более 0,05
Хлориды, % не более 0,007
Сульфаты, % не более 0,01
Тяжелые металлы, % не более 0,0003
Сульфатная зола (600°C), % не более 0,1

Индекс риска

R24/25Токсично при попадании на кожу и проглатывании
Индекс риска (R)
24/25

Индекс безопасности

S26В случае попадания в глаза немедленно промыть глаза большим количеством воды и обратиться за медицинской помощью
S39Используйте средства защиты глаз/лица
S37/39Надеть соответствующие перчатки и средства защиты глаз/лица
S24/25Избегать попадания на кожу и в глаза
S36/37/39Надеть соответствующую защитную одежду, перчатки и средства защиты глаз/лица
S45В случае аварии или при плохом самочувствии немедленно обратиться за медицинской помощью (по возможности предъявить этикетку материала)
Индекс безопасности (S)
26-39-37/39-24/25-36/37/39-45-36
  • Мочевина кристаллическая, pure EP, USP (pharma grade), NeoFroxx, Германия, 5 кг
1152KG001
1152KG001
1 кг
9 839, руб.
101,= EUR
1152KG005
5 кг
32 470, руб.
333,= EUR
Товар временно недоступен. Аналог: 3843, ХлоренХима


Синонимы: карбамид, карбонилдиамид.
CAS-No. 57-13-6
Химическая формула CH₄N₂O
Молекулярный вес, г/моль 60,06
Внешний вид кристаллы белого цвета
Содержание основного вещества, % не более 99
pH 7,5-10,5
Хлориды, % не более 0,0005
Сульфаты, % не более 0,01
Тяжелые металлы, % не более 0,01
Сульфатная зола (600°C), % не более 0,0005

Индекс риска

R24/25Токсично при попадании на кожу и проглатывании
Индекс риска (R)
24/25

Индекс безопасности

S26В случае попадания в глаза немедленно промыть глаза большим количеством воды и обратиться за медицинской помощью
S39Используйте средства защиты глаз/лица
S37/39Надеть соответствующие перчатки и средства защиты глаз/лица
S24/25Избегать попадания на кожу и в глаза
S36/37/39Надеть соответствующую защитную одежду, перчатки и средства защиты глаз/лица
S45В случае аварии или при плохом самочувствии немедленно обратиться за медицинской помощью (по возможности предъявить этикетку материала)
Индекс безопасности (S)
26-39-37/39-24/25-36/37/39-45-36
  • Мочевина кристаллическая, для молекулярной биологии, NeoFroxx, Германия, 1 кг
LC-5061.3
500 г
По запросу
По запросу
Товар временно недоступен. Аналог: 984350.500 gm, CDH, Индия.



Синоним: натрий уксуснокислый 3-водный.


CAS-No. 6131-90-4
Химическая формула C₂H₃NaO₂×3H₂O
Молекулярный вес, г/моль 136,08
Содержание основного вещества, % не менее 99,0-101,0
Нерастворимые вещества, % не более 0,005
pH (5% в воде) 7,5-9,0
Хлориды, % не более 0,0005
Фосфаты, % не более 0,0002
Сульфаты, % не более 0,002
Общий азот, % не более 0,001
Тяжелые металлы, % (свинец) не более 0,0005
Алюминий, % не более 0,0005
Мышьяк, % не более 0,0002
Кальций, % не более 0,001
Медь, % не более 0,0003
Железо, % не более 0,0005
Калий, % не более 0,005
Магний, % не более 0,0005
Потери при сушке (130 °С), % 39,0-40,5

Индекс риска

R24/25Токсично при попадании на кожу и проглатывании
Индекс риска (R)
24/25

Индекс безопасности

S26В случае попадания в глаза немедленно промыть глаза большим количеством воды и обратиться за медицинской помощью
S39Используйте средства защиты глаз/лица
S37/39Надеть соответствующие перчатки и средства защиты глаз/лица
S24/25Избегать попадания на кожу и в глаза
S36/37/39Надеть соответствующую защитную одежду, перчатки и средства защиты глаз/лица
S45В случае аварии или при плохом самочувствии немедленно обратиться за медицинской помощью (по возможности предъявить этикетку материала)
Индекс безопасности (S)
26-39-37/39-24/25-36/37/39-45-36
  • Натрий ацетат 3-водный, p.A. 99,0-101,0%, Neofroxx, Германия, 500 г
1792KG001
1 кг
По запросу
По запросу
Товар временно недоступен. Аналог: 641225, CDH, Индия


CAS-No. 127-09-3
Химическая формула CH₃COONa
Молекулярный вес, г/моль 82,03
Содержание основного вещества, % не менее 99,0
pH (5,0 % в воде, 20°С) не менее 7,5-9,5
Хлориды, % не более 0,001
Фосфаты, % не более 0,0005
Сульфаты, % не более 0,005
Алюминий, % не более 0,001
Кальций, % не более 0,001
Медь, % не более 0,0003
Железо, % не более 0,0005
Магний, % не более 0,0005
Свинец, % не более 0,0001

Индекс риска

R24/25Токсично при попадании на кожу и проглатывании
Индекс риска (R)
24/25

Индекс безопасности

S26В случае попадания в глаза немедленно промыть глаза большим количеством воды и обратиться за медицинской помощью
S39Используйте средства защиты глаз/лица
S37/39Надеть соответствующие перчатки и средства защиты глаз/лица
S24/25Избегать попадания на кожу и в глаза
S36/37/39Надеть соответствующую защитную одежду, перчатки и средства защиты глаз/лица
S45В случае аварии или при плохом самочувствии немедленно обратиться за медицинской помощью (по возможности предъявить этикетку материала)
Индекс безопасности (S)
26-39-37/39-24/25-36/37/39-45-36
  • Натрий ацетат безводный, для молекулярной биологии, не менее 99%, Германия, NeoFroxx, 1кг
1070GR100
1070GR100
100 г
По запросу
По запросу
1070GR500
500 г
По запросу
По запросу
1070KG001
1 кг
146 261, руб.
1 500,= EUR
Товар временно недоступен. Аналог: 219465.25 gm, CDH, Индия


CAS-No. 302-95-4
Химическая формула C₂₄H₃₉NaO₄
Молекулярный вес, г/моль 414,57
Содержание основного вещества, % не менее 98,5
Внешний вид белый порошок
pH (2% в воде) 7,5-9,5
Тяжелые металлы, % не более 0,002
Натрий холат, % не более 2,0
Потери при сушке, % не более 5

Индекс риска

R24/25Токсично при попадании на кожу и проглатывании
Индекс риска (R)
24/25

Индекс безопасности

S26В случае попадания в глаза немедленно промыть глаза большим количеством воды и обратиться за медицинской помощью
S39Используйте средства защиты глаз/лица
S37/39Надеть соответствующие перчатки и средства защиты глаз/лица
S24/25Избегать попадания на кожу и в глаза
S36/37/39Надеть соответствующую защитную одежду, перчатки и средства защиты глаз/лица
S45В случае аварии или при плохом самочувствии немедленно обратиться за медицинской помощью (по возможности предъявить этикетку материала)
Индекс безопасности (S)
26-39-37/39-24/25-36/37/39-45-36
  • Натрий дезоксихолат, 98,5 %, для биохимии, NeoFroxx, Германия
LC-10112.1
1 кг
По запросу
По запросу


Синоним: натрий лаурилсульфат.
CAS-No. 151-21-3
Химическая формула C₁₂H₂₅NaO₄S
Молекулярный вес, г/моль 288,38
Содержание основного вещества, % не менее 95,0
Внешний вид порошок от белого до бледно-желтого цвета
pH (10% в воде) 7,0-10,5
Натрий хлорид, % не более 1,0
Натрий сульфат, % не более 2,5
Вода, % не более 3,0

Индекс риска

R24/25Токсично при попадании на кожу и проглатывании
Индекс риска (R)
24/25

Индекс безопасности

S26В случае попадания в глаза немедленно промыть глаза большим количеством воды и обратиться за медицинской помощью
S39Используйте средства защиты глаз/лица
S37/39Надеть соответствующие перчатки и средства защиты глаз/лица
S24/25Избегать попадания на кожу и в глаза
S36/37/39Надеть соответствующую защитную одежду, перчатки и средства защиты глаз/лица
S45В случае аварии или при плохом самочувствии немедленно обратиться за медицинской помощью (по возможности предъявить этикетку материала)
Индекс безопасности (S)
26-39-37/39-24/25-36/37/39-45-36
  • Натрий додецилсульфат, 95%, pharma grade, Германия, NeoFroxx, 1 кг
1232GR100
100 г
11 213, руб.
115,= EUR
Товар временно недоступен. Аналоги: G4212-100ML, Servicebio, Китай.


CAS-No. 113-24-6
Химическая формула C₃H₃NaO₃
Молекулярный вес, г/моль 110,05
Содержание основного вещества, % не менее 99,0
pH (10 % в воде) не менее 5,5-6,5
Потери при сушке не более 0,5
Хлориды, % не более 0,002
Сульфаты, % не более 0,002
Мышьяк, % не более 0,0001
Свинец, % не более 0,001

Индекс риска

R24/25Токсично при попадании на кожу и проглатывании
Индекс риска (R)
24/25

Индекс безопасности

S26В случае попадания в глаза немедленно промыть глаза большим количеством воды и обратиться за медицинской помощью
S39Используйте средства защиты глаз/лица
S37/39Надеть соответствующие перчатки и средства защиты глаз/лица
S24/25Избегать попадания на кожу и в глаза
S36/37/39Надеть соответствующую защитную одежду, перчатки и средства защиты глаз/лица
S45В случае аварии или при плохом самочувствии немедленно обратиться за медицинской помощью (по возможности предъявить этикетку материала)
Индекс безопасности (S)
26-39-37/39-24/25-36/37/39-45-36
  • Натрий пируват, для клеточной биологии, не менее 99%, Германия, NeoFroxx, 100 г
LC-4353.2
1 кг
5 850, руб.
60,= EUR

Товар временно недоступен. Аналог: 219515, CDH, Индия.



Синоним: натрий фосфат 1-замещенный, 2-водный.



CAS-No. 13472-35-0
Химическая формула NaH₂PO₄×2H₂O
Молекулярный вес, г/моль 156,01
Содержание основного вещества, % не менее 98,0-101,0
Нерастворимые вещества, % не более 0,15
pH (1,0 % в воде) 4,1-4,7
pH (5,0 % в воде) 4,2-4,5
pH (5,7 % в воде) 4,1-4,5
Хлориды, % не более 0,005
Фториды, % не более 0,001
Гидрогенфосфаты, % не более 0,5
Тяжелые металлы, % (свинец) не более 0,0005
Мышьяк, % не более 0,0001
Кадмий, % не более 0,0001
Железо, % не более 0,001
Ртуть, % не более 0,0001
Свинец, % не более 0,0001

Индекс риска

R24/25Токсично при попадании на кожу и проглатывании
Индекс риска (R)
24/25

Индекс безопасности

S26В случае попадания в глаза немедленно промыть глаза большим количеством воды и обратиться за медицинской помощью
S39Используйте средства защиты глаз/лица
S37/39Надеть соответствующие перчатки и средства защиты глаз/лица
S24/25Избегать попадания на кожу и в глаза
S36/37/39Надеть соответствующую защитную одежду, перчатки и средства защиты глаз/лица
S45В случае аварии или при плохом самочувствии немедленно обратиться за медицинской помощью (по возможности предъявить этикетку материала)
Индекс безопасности (S)
26-39-37/39-24/25-36/37/39-45-36
  • Натрий фосфорнокислый 1-замещенный, 2-водный
LC-6084.2
LC-6084.2
1 кг
По запросу
По запросу
LC-6084.4
25 кг
По запросу
По запросу
Товар временно недоступен. Аналог: TC1508 .500 gm, CDH; 4434.1000, Россия.


Синоним: натрий фосфат 2-замещенный, 12-водный.


CAS-No. 10039-32-4
Химическая формула Na₂HPO₄×12H₂O
Молекулярный вес, г/моль 358,14
Содержание основного вещества, % не менее 98,5-102,5
Внешний вид бесцветные кристаллы или белый кристаллический порошок
Внешний вид раствора (5 % в воде) тест пройден
Температура плавления, °С 132,5-134,5
Хлориды, % не более 0,007
Сульфаты, % не более 0,01
Тяжелые металлы, % (свинец) не более 0,001
Аммоний, % не более 0,05
Биурет, % не более 0,1
Остаточные растворители, % не более 0,001
Сульфатированная зола (600°C), % не более 0,1
Потери при сушке (105°C), % не более 57,0-61,0

Индекс риска

R24/25Токсично при попадании на кожу и проглатывании
Индекс риска (R)
24/25

Индекс безопасности

S26В случае попадания в глаза немедленно промыть глаза большим количеством воды и обратиться за медицинской помощью
S39Используйте средства защиты глаз/лица
S37/39Надеть соответствующие перчатки и средства защиты глаз/лица
S24/25Избегать попадания на кожу и в глаза
S36/37/39Надеть соответствующую защитную одежду, перчатки и средства защиты глаз/лица
S45В случае аварии или при плохом самочувствии немедленно обратиться за медицинской помощью (по возможности предъявить этикетку материала)
Индекс безопасности (S)
26-39-37/39-24/25-36/37/39-45-36
  • Натрий фосфорнокислый 2-замещенный, 12-водный, 98,5-102,5, pharma grade, Германия, NeoFroxx, 25 кг
LC-6772.2
1 кг
По запросу
По запросу
Товар временно недоступен. Аналог: 030157.500 gm, CDH, Индия.


Синоним: натрий фосфат 2-замещенный, 2-водный.


CAS-No. 10028-24-7
Химическая формула Na₂HPO₄×2H₂O
Молекулярный вес, г/моль 177,99
Содержание основного вещества, % не менее 98,0-101,0
Нерастворимые вещества, % не более 0,3
pH (5,0 % в воде) 8,9-9,2
Хлориды, % не более 0,005
Сульфаты, % не более 0,02
Мышьяк, % не более 0,0002
Железо, % не более 0,001
Натрий дигидрофосфат, % не более 1,7
Потери при сушке (130°C), % не более 19,5-21,0

Индекс риска

R24/25Токсично при попадании на кожу и проглатывании
Индекс риска (R)
24/25

Индекс безопасности

S26В случае попадания в глаза немедленно промыть глаза большим количеством воды и обратиться за медицинской помощью
S39Используйте средства защиты глаз/лица
S37/39Надеть соответствующие перчатки и средства защиты глаз/лица
S24/25Избегать попадания на кожу и в глаза
S36/37/39Надеть соответствующую защитную одежду, перчатки и средства защиты глаз/лица
S45В случае аварии или при плохом самочувствии немедленно обратиться за медицинской помощью (по возможности предъявить этикетку материала)
Индекс безопасности (S)
26-39-37/39-24/25-36/37/39-45-36
  • Натрий фосфорнокислый 2-замещенный, 2-водный, pharma grade, Германия, NeoFroxx, 1 кг
LC-7052.1
1 л
По запросу
По запросу

Товар временно недоступен. Аналог: TC1533M.500 gm, CDH, Индия.


Синоним: E338.





CAS-No. 7664-38-2
Химическая формула H₃PO₄
Молекулярный вес, г/моль 98
Содержание основного вещества, % не менее 85,0-85,7
Специфическая плотность (d 20/4) не менее 1,69
Хлориды, % не более 0,0005
Фториды, % не более 0,001
Нитраты, % не более 0,0003
Фосфит и Гипофосфит, % не более 0,02
Сульфаты, % не более 0,005
Тяжелые металлы (свинец), % не более 0,0005
Мышьяк, % не более 0,0001
Кадмий, % не более 0,0001
Медь, % не более 0,002
Железо, % не более 0,005
Ртуть, % не более 0,0001
Калий, % не более 0,005
Натрий, % не более 0,03
Свинец, % не более 0,0001
Цинк, % не более 0,002

Индекс риска

R24/25Токсично при попадании на кожу и проглатывании
Индекс риска (R)
24/25

Индекс безопасности

S26В случае попадания в глаза немедленно промыть глаза большим количеством воды и обратиться за медицинской помощью
S39Используйте средства защиты глаз/лица
S37/39Надеть соответствующие перчатки и средства защиты глаз/лица
S24/25Избегать попадания на кожу и в глаза
S36/37/39Надеть соответствующую защитную одежду, перчатки и средства защиты глаз/лица
S45В случае аварии или при плохом самочувствии немедленно обратиться за медицинской помощью (по возможности предъявить этикетку материала)
Индекс безопасности (S)
26-39-37/39-24/25-36/37/39-45-36
  • Ортофосфорная кислота 85 %, pure EP, USP (food и pharma grade), NeoFroxx, Германия, 1 л
1164GR001
1 г
транспортировка +2...+8 °C
По запросу
По запросу
Товар временно недоступен. Аналог: PCT2125.1X1 mu, CDH, Индия.





CAS-No. 1405-20-5
Химическая формула C₅₅H₉₆N16O₁₃×2H₂SO₄
Молекулярный вес, г/моль 1385,63
Внешний вид белый порошок
Активность (высушенный субстрат) 7000 I.U./мг
pH (2 % в воде) 5,0–7,0
Сульфатированная зола, % не более 1
Потери при сушке, % не более 5
Фенилаланин, % 9,0–12,0

Индекс риска

R24/25Токсично при попадании на кожу и проглатывании
Индекс риска (R)
24/25

Индекс безопасности

S26В случае попадания в глаза немедленно промыть глаза большим количеством воды и обратиться за медицинской помощью
S39Используйте средства защиты глаз/лица
S37/39Надеть соответствующие перчатки и средства защиты глаз/лица
S24/25Избегать попадания на кожу и в глаза
S36/37/39Надеть соответствующую защитную одежду, перчатки и средства защиты глаз/лица
S45В случае аварии или при плохом самочувствии немедленно обратиться за медицинской помощью (по возможности предъявить этикетку материала)
Индекс безопасности (S)
26-39-37/39-24/25-36/37/39-45-36
  • Полимиксин B сульфат, для биохимии, Neofroxx, Германия
1780KG001
1 кг
По запросу
По запросу
Товар временно недоступен. Аналог: 971920.500 gm, CDH, Индия.


Синоним: полигликоль, полиэтилен оксид, ПЕГ6000.


CAS-No. 25322-68-3
Химическая формула H(OCH₂CH₂)nOH
Содержание основного вещества не менее 91,0 – 102,0 %
Внешний вид порошок или хлопья
ДНК-азы/РНК-азы/протеазы не обнаружены
Гидроксильное число, мг/KOH/г 17-20
Средняя молярная масса, г/моль 5600-6600
Точка затвердевания, °C 55-60
pH (5% в воде) 5,5-7,5
Вода (по Карлу Фишеру), % не более 1
Вязкость (20°C, 50 % в воде), мПа×с 210-262
Сульфатированная зола, % не более 0,1
Диоксан, % не более 0,0001
Окись этилена, % не более 0,0001
Формальдегид, % не более 0,0015
Реагирующие с кислотой вещества (0,1 М NaOH/5 г), мл не более 0,1
Пероксиды тест пройден

Индекс риска

R24/25Токсично при попадании на кожу и проглатывании
Индекс риска (R)
24/25

Индекс безопасности

S26В случае попадания в глаза немедленно промыть глаза большим количеством воды и обратиться за медицинской помощью
S39Используйте средства защиты глаз/лица
S37/39Надеть соответствующие перчатки и средства защиты глаз/лица
S24/25Избегать попадания на кожу и в глаза
S36/37/39Надеть соответствующую защитную одежду, перчатки и средства защиты глаз/лица
S45В случае аварии или при плохом самочувствии немедленно обратиться за медицинской помощью (по возможности предъявить этикетку материала)
Индекс безопасности (S)
26-39-37/39-24/25-36/37/39-45-36
  • Полиэтиленгликоль 6000, для молекулярной биологии, NeoFroxx, Германия
1363GR500
500 г
По запросу
По запросу
Товар временно недоступен. Аналог: 193655.500 gm, CDH, Индия.


Синонимы: карбовакс 8000, макроголь 8000, полигликоль 8000, полиоксиэтилен 8000д.


CAS-No. 25322-68-3
Химическая формула HO(C₂H₄O)nH
Молекулярный вес, г/моль 7000–9000
Внешний вид желтый кристаллический порошок
Растворимость (5 % в воде) чистый, прозрачный
pH (5 % в воде, 20°C) 5,5–7,0
Тяжелые металлы, % Не более 0,005

Индекс риска

R24/25Токсично при попадании на кожу и проглатывании
Индекс риска (R)
24/25

Индекс безопасности

S26В случае попадания в глаза немедленно промыть глаза большим количеством воды и обратиться за медицинской помощью
S39Используйте средства защиты глаз/лица
S37/39Надеть соответствующие перчатки и средства защиты глаз/лица
S24/25Избегать попадания на кожу и в глаза
S36/37/39Надеть соответствующую защитную одежду, перчатки и средства защиты глаз/лица
S45В случае аварии или при плохом самочувствии немедленно обратиться за медицинской помощью (по возможности предъявить этикетку материала)
Индекс безопасности (S)
26-39-37/39-24/25-36/37/39-45-36
  • Полиэтиленгликоль 8000 (ПЭГ 8000), для биохимии, 500 г, NeoFroxx, Германия
1246MG100
100 мг
хранение -20°C в темноте
По запросу
По запросу


CAS-No. 25535-16-4
Химическая формула C₂₇H₃₄I₂N₄
Молекуляный вес, г/моль 668,40
Содержание основного вещества, % не менее 94
Внешний вид красный порошок
Диапазон плавления, °C 220-225
Максимальная эмиссия (в 0,1 М фосфорном растворе рН 7,0), нм 620
Максимум затухания (в 0,1 М фосфорном растворе рН 7,0), нм 535

Индекс риска

R24/25Токсично при попадании на кожу и проглатывании
Индекс риска (R)
24/25

Индекс безопасности

S26В случае попадания в глаза немедленно промыть глаза большим количеством воды и обратиться за медицинской помощью
S39Используйте средства защиты глаз/лица
S37/39Надеть соответствующие перчатки и средства защиты глаз/лица
S24/25Избегать попадания на кожу и в глаза
S36/37/39Надеть соответствующую защитную одежду, перчатки и средства защиты глаз/лица
S45В случае аварии или при плохом самочувствии немедленно обратиться за медицинской помощью (по возможности предъявить этикетку материала)
Индекс безопасности (S)
26-39-37/39-24/25-36/37/39-45-36
  • Полиэтиленгликоль 6000, для молекулярной биологии, NeoFroxx, Германия, 1 кг
1443ML250
250 мл
По запросу
По запросу
Товар временно недоступен. Аналог: 835020.125 ml, CDH, Индия.


Внешний вид желтая прозрачная жидкость
Вольфрамата натрия дигидрат p.A, % не более 10
Дигидрат молибдата натрия p.A, % не более 2,5
Ортофосфорная кислота 85%, % не более 5
Соляная кислота 37%, % не более 10
Моногидрат сульфата лития p.A. не более 15

Индекс риска

R24/25Токсично при попадании на кожу и проглатывании
Индекс риска (R)
24/25

Индекс безопасности

S26В случае попадания в глаза немедленно промыть глаза большим количеством воды и обратиться за медицинской помощью
S39Используйте средства защиты глаз/лица
S37/39Надеть соответствующие перчатки и средства защиты глаз/лица
S24/25Избегать попадания на кожу и в глаза
S36/37/39Надеть соответствующую защитную одежду, перчатки и средства защиты глаз/лица
S45В случае аварии или при плохом самочувствии немедленно обратиться за медицинской помощью (по возможности предъявить этикетку материала)
Индекс безопасности (S)
26-39-37/39-24/25-36/37/39-45-36
  • Пропидиум йодид
LC-10078.2
100 г
хранение темнота
По запросу
По запросу
Товар временно недоступен. Аналог: 214725, CDH, Индия.



Синоним: лактофлавин, витамин В2, витамин G.


CAS-No. 83-88-5
Химическая формула C₁₇H₂0N₄O₆
Молекулярный вес, г/моль 376,40
Содержание основного вещества, % не менее 98,0-102,0
A373 нм / A267 нм 0.31 - 0.33
A444 nm / A267 nm 0.36 - 0.39
Максимумы поглощения тест пройден
Сульфатированная зола, % не более 0,1
Потери при сушке, % не более 1,5
Наибольшая неопределенная примесь (ВЭЖХ), % не более 0,1
Примеси родственных веществ (всего) (ВЭЖХ), % не более 0,5
Примесь А (ВЭЖХ) не более 0,025
Примесь B (ВЭЖХ) не более 0,2
Примесь C (ВЭЖХ) не более 0,2
Примесь D (ВЭЖХ) не более 0,2

Индекс риска

R24/25Токсично при попадании на кожу и проглатывании
Индекс риска (R)
24/25

Индекс безопасности

S26В случае попадания в глаза немедленно промыть глаза большим количеством воды и обратиться за медицинской помощью
S39Используйте средства защиты глаз/лица
S37/39Надеть соответствующие перчатки и средства защиты глаз/лица
S24/25Избегать попадания на кожу и в глаза
S36/37/39Надеть соответствующую защитную одежду, перчатки и средства защиты глаз/лица
S45В случае аварии или при плохом самочувствии немедленно обратиться за медицинской помощью (по возможности предъявить этикетку материала)
Индекс безопасности (S)
26-39-37/39-24/25-36/37/39-45-36
  • Рибофлавин, 98-102%, pharma grade, NeoFroxx, Германия, 100 г
LC-7069.1
1 л
По запросу
По запросу

Товар временно недоступен. Аналог: 3822.1000, Компонент-Реактив.



Синоним: хлороводородная кислота, хлористо-водородная кислота..

CAS-No. 7647-01-0
Химическая формула HCI
Молекулярный вес 36,46 г/моль
Внешний вид бесцветная жидкость
Содержание основного вещества, % 37-38
Точка плавления, °C -25
Свободный хлор, % не более 0,001
Сульфаты,% не более 0,0005
Сульфиты, % не более 0,0010
Тяжелые металлы, % не более 0,0001
Мышьяк, % не более 0,00010
Кальций, % не более 0,0010
Железо, % не более 0,0002
Ртуть, % не более 0,000004
Остаток после выпаривания не более 0,005

Индекс риска

R24/25Токсично при попадании на кожу и проглатывании
Индекс риска (R)
24/25

Индекс безопасности

S26В случае попадания в глаза немедленно промыть глаза большим количеством воды и обратиться за медицинской помощью
S39Используйте средства защиты глаз/лица
S37/39Надеть соответствующие перчатки и средства защиты глаз/лица
S24/25Избегать попадания на кожу и в глаза
S36/37/39Надеть соответствующую защитную одежду, перчатки и средства защиты глаз/лица
S45В случае аварии или при плохом самочувствии немедленно обратиться за медицинской помощью (по возможности предъявить этикетку материала)
Индекс безопасности (S)
26-39-37/39-24/25-36/37/39-45-36
  • Рибофлавин
LC-6666.1
LC-6666.1
500 г
По запросу
По запросу
LC-6666.4
1 кг
По запросу
По запросу
Товар временно недоступен. Аналог: TC1170M.500 gm, CDH, Индия.


Синоним: D-Глюцитол, нивитин, D-Сорбит, сорбол.


CAS-No. 50-70-4
Химическая формула C₆H₁₄O₆
Молекулярный вес, г/моль 182,18
Содержание основного вещества, % не менее 97-100,5
Проводимость (20 % в воде), мкс/см не более 20,0
Микробиологический тест пройден
Общее количество аэробных микроорганизмов (TAMC), КОЕ/г не более 100
Количество колоний дрожжей и плесневых грибов (TYMC), КОЕ/г не более 10
E. coli отрицательный результат в 1 г
Salmonella отрицательный результат в 10 г
pH (10,0 % в воде) 3,5-7
Редуцирующие сахара, % не более 0,2
Сульфатированная зола тест пройден
Каждая отдельная примесь (ВЭЖХ), % не более 2
Общее количество примесей (ВЭЖХ), % не более 3

Индекс риска

R24/25Токсично при попадании на кожу и проглатывании
Индекс риска (R)
24/25

Индекс безопасности

S26В случае попадания в глаза немедленно промыть глаза большим количеством воды и обратиться за медицинской помощью
S39Используйте средства защиты глаз/лица
S37/39Надеть соответствующие перчатки и средства защиты глаз/лица
S24/25Избегать попадания на кожу и в глаза
S36/37/39Надеть соответствующую защитную одежду, перчатки и средства защиты глаз/лица
S45В случае аварии или при плохом самочувствии немедленно обратиться за медицинской помощью (по возможности предъявить этикетку материала)
Индекс безопасности (S)
26-39-37/39-24/25-36/37/39-45-36
  • Сорбитол-D(-), pharma grade, NeoFroxx, Германия
LC-11588.1
LC-11588.1
1 л
7 801, руб.
80,= EUR
LC-11588.3
5 л
По запросу
По запросу
Товар временно недоступен. Аналог: 056270.500 ml, CDH, Индия


Синонимы: полисорбат 20, монолаурат полиоксиэтиленсорбитана.
CAS-No. 9005-64-5
Химическая формула C₅₈H₁₁₄O₂₆
Молекулярный вес, г/моль 1227,72
Содержание основного вещества, % не менее 97-100,5
Остаток при воспламенении (в виде SO4), % не более 0,2
Гидроксильное значение 96-108
Йодное число не более 5
Пироксидное число не более 5
Омыление 40-50
Состав жирных кислот тест пройден
Полный пепел не более 0,25
Остаточные растворители (EP/USP) тест пройден
1,4-диоксан, % не более 0,001
C10 (каприновая кислота), % не более 10
С12 (лауриновая кислота), % не более 40-60
С14 (миристиновая кислота), % не более 14-25
С16 (пальмитиновая кислота), % не более 7-15
С18 (линолевая кислота), % не более 3
C18 (олеиновая кислота), % не более 11
C18 (стеариновая кислота), % не более 7
С6 (капроновая кислота), % не более 1
C8 (каприловая кислота), % не более 10
Окись этилена, % не более 0,0001
Вода (по Карлу Фишеру), % не более 3
Цвет по Гарднеру не более 6

Индекс риска

R24/25Токсично при попадании на кожу и проглатывании
Индекс риска (R)
24/25

Индекс безопасности

S26В случае попадания в глаза немедленно промыть глаза большим количеством воды и обратиться за медицинской помощью
S39Используйте средства защиты глаз/лица
S37/39Надеть соответствующие перчатки и средства защиты глаз/лица
S24/25Избегать попадания на кожу и в глаза
S36/37/39Надеть соответствующую защитную одежду, перчатки и средства защиты глаз/лица
S45В случае аварии или при плохом самочувствии немедленно обратиться за медицинской помощью (по возможности предъявить этикетку материала)
Индекс безопасности (S)
26-39-37/39-24/25-36/37/39-45-36
  • Твин 20, pure EP, USP, NeoFroxx, Германия
8506LT001
1 л
6 826, руб.
70,= EUR
Товар временно недоступен. Аналог: 923600, CDH, Индия



Синоним: полиэтиленгликоль сорбитанмонолаурат, полиоксиэтиленсорбитан монолаурат.
CAS-No. 9005-64-5
Химическая формула C₅₈H₁₁₄O₂₆
Молекулярный вес, г/моль 12270,72
Внешний вид вязкая жидкость
СМС (25°C, моль/л 5,9×10⁻⁵
Плотность (d 20°C/4°C) 1,095 – 1,105
Омыление 40-50
Точка кипения, °C > 100
Цвет по Гарднеру макс. 6
Условия хранения ниже 25°C, в защищенном от света месте

Индекс безопасности

Индекс безопасности (S)
7/8
  • Твин 20, neoFroxx
8506ML250
250 мл
По запросу
По запросу
Товар временно недоступен. Аналог: 923600, CDH, Индия


Синоним: монтанокс 20, полисорбат 20.
CAS-No. 9005-64-5
Химическая формула C₅₈H₁₁₄O₂₆
Молекуляный вес, г/моль 1227,72
ДНК-азы/РНК-азы/протеазы не обнаружены
Плотность (d 20 °C / 4 °C) 1,095-1,105
Гидроксильное число, мг KOH/г почти 100
Омыление 40-50
CMC (25 °C), мол/л 5,9 x 10⁻⁵
Растворимость (25 °C в воде), г/л 100
Точка кипения, °C не менее 100
Вязкость (20°C, 50% в воде), мПа×с 210-262
Медь, % не более 0,0001
Железо, % не более 0,0001
Свинец, % не более 0,0001

Индекс безопасности

Индекс безопасности (S)
7/8
  • Твин 20, для молекулярной биологии, Германия, NeoFroxx, 250 мл
LC-10054.2
LC-10054.2
500 мл
По запросу
По запросу
LC-10054.1
1 л
По запросу
По запросу
Товар временно недоступен. Аналог: 056300, CDH, Индия


Синоним: полисорбат 80.
CAS-No. 9005-65-6
Химическая формула C₆₄H₁₂₄O₂
Молекуляный вес, г/моль 1309,66
Содержание основного вещества, % не менее 98,5-101,0
Гидроксильное число, мг KOH/г 65-80
1,4-диоксан, % не более 0,001
C14 (миристиновая кислота), % не более 5,0
C16 (пальмитиновая кислота), % не более 16,0
C16 (пальмитолеиновая кислота), % не более 8,0
C18 (линоленовая кислота), % не более 4,0
C18 (линолевая кислота), % не более 18,0
C18 (олеиновая кислота), % Не менее 58,0 и не более 85.0
C18 (стеариновая кислота), % не более 6,0
Окись этилена не более, % не более 0,0001 % (пересмотрено)
Вода (по Карлу Фишеру), % не более 3,0
Цвет по Гарднеру макс. 10 не более 10

Индекс риска

R36/37/38Раздражает глаза, органы дыхания и кожу
R37/38Раздражает органы дыхания и кожу
Индекс риска (R)
22-36/37/38-37/38-41
  • Твин 80, pure EP (pharma grade), NeoFroxx, Германия, 500 мл
8027ML100
100 мл
транспортировка +4°C
5 790, руб.
59,= EUR
Товар временно недоступен. Аналог: 044308, CDH, Индия

Индекс риска

R36/37/38Раздражает глаза, органы дыхания и кожу
R37/38Раздражает органы дыхания и кожу
Индекс риска (R)
22-36/37/38-37/38-41
  • Темед
LC-7053.3
2,5 л
прекурсор
По запросу
По запросу
Данный реактив входит в список прекурсоров, для покупки требуется заполнить бланк об отпуске прекуросоров.


Синоним: диэтиленоксид, тетраметиленоксид.
CAS-No. 109-99-9
Химическая формула C₄H₈O
Молекулярный вес 72,11 г/моль
Внешний вид бесцветная прозрачная жидкость
Содержание основного вещества 99,99 %
APHA цвет max 20
Вода 0,03 %
Кислотность 0,0005
Ацетон (ГХ) 0,05 %
Бутанол-1 (ГХ) 0,05 %
Пропанол-2 (ГХ) 0,05 %
Металлы по ICP (ppm):
Серебро 0,000005
Алюминий 0,00005
Мышьяк 0,000005
Золото 0,000005
Бор 0,000002
Барий 0,00001
Бериллий 0,000002
Висмут 0,000005
Кальций 0,00005
Кобальт 0,000002
Хром 0,000002
Медь 0,000002
Железо 0,00001
Галлий 0,000002
Германий 0,000005
Ртуть 0,000005
Калий 0,00001
Индий 0,000005
Литий 0,000005
Магний 0,00001
Марганец 0,000002
Молибден 0,000002
Натрий 0,00005
Никель 0,000002
Фосфор 0,00002
Свинец 0,00001
Платина 0,000002
Сера 0,00002
Кремний 0,00002
Сурьма 0,000002
Олово 0,00001
Титан 0,000002
Таллий 0,000002
Ванадий 0,000002
Цинк 0,00001
Цирконий 0,000002

Индекс риска

R11Очень огнеопасно
R19Может образовывать взрывоопасные перекиси
R36/37Раздражает глаза и органы дыхания
R40Ограниченная возможность канцерогенных эффектов
Индекс риска (R)
11-19-36/37-40

Индекс безопасности

S16Хранить вдали от источников возгорания — Не курить
S29Не сливать в канализацию
S33Примите меры предосторожности во избежание статических разрядов
S36/37Надеть соответствующую защитную одежду и перчатки
Индекс безопасности (S)
16-29-33-36/37

Символы опасности

Символы опасности
огнеопасно, опасность, опасно для здоровья
  • Темед
1302GR025
25 г
6 045, руб.
62,= EUR
Товар временно недоступен. Аналог: 987810.25 gm, CDH, Индия


CAS-No. 64-75-5
Химическая формула C₂₂H₂₄N₂O₈×HCl
Молекулярный вес, г/моль 480,90
Содержание основного вещества, % не менее 95,0
Внешний вид желтый кристаллический порошок
Специфическое вращение (α20°C/D; 0,5 %, 0,1 M HCl) -240° до -255°
pH (1 % в воде) 2-3
Потери при сушке, % не более 2

Индекс риска

R11Очень огнеопасно
R19Может образовывать взрывоопасные перекиси
R36/37Раздражает глаза и органы дыхания
R40Ограниченная возможность канцерогенных эффектов
Индекс риска (R)
11-19-36/37-40

Индекс безопасности

S16Хранить вдали от источников возгорания — Не курить
S29Не сливать в канализацию
S33Примите меры предосторожности во избежание статических разрядов
S36/37Надеть соответствующую защитную одежду и перчатки
Индекс безопасности (S)
16-29-33-36/37

Символы опасности

Символы опасности
огнеопасно, опасность, опасно для здоровья
  • Тетрациклин гидрохлорид, neoFroxx
1242GR100
100 г
транспортировка +2...+8 °C
8 971, руб.
92,= EUR
Товар временно недоступен. Аналог: 241965, CDH, Индия.

Синонимы: тиамин гидрохлорид, аневрин гидрохлорид, витамин В1 гидрохлорид, Thiamine, Hydrochloride, Aneurine hydrochloride, Vitamin B1 hydrochloride, Thiamine hydrochloride, Thiamine chloride hydrochloride.


CAS-No. 67-03-8
Химическая формула C₁₂H₁₇ClN₄OS×HCl
Молекулярный вес, г/моль 337,23
Содержание основного вещества, % Не менее 99,0
Растворимость (20 °C в воде), г/мл Не более 1,0
Тяжелые металлы, % (свинец) Не более 0,002
Вода (по Карлу Фишеру), % Не более 5,0

Индекс риска

R11Очень огнеопасно
R19Может образовывать взрывоопасные перекиси
R36/37Раздражает глаза и органы дыхания
R40Ограниченная возможность канцерогенных эффектов
Индекс риска (R)
11-19-36/37-40

Индекс безопасности

S16Хранить вдали от источников возгорания — Не курить
S29Не сливать в канализацию
S33Примите меры предосторожности во избежание статических разрядов
S36/37Надеть соответствующую защитную одежду и перчатки
Индекс безопасности (S)
16-29-33-36/37

Символы опасности

Символы опасности
огнеопасно, опасность, опасно для здоровья
  • Тиамин гидрохлорид для биохимии, NeoFroxx, Германия
LC-5955.1
250 мл
По запросу
По запросу
Товар временно недоступен. Аналог: 030415.500 ml, CDH, Индия


CAS-No. 68-11-1
Химическая формула HSC₂COOH
Молекулярный вес, г/моль 92,12
Содержание основного вещества, % не менее 99,0
Внешний вид прозрачная бесцветная жидкость
Органический хлор, % не более 0,01
Сульфатированная зола, % не более 0,05
Железо % не более 0,0005

Индекс риска

R11Очень огнеопасно
R19Может образовывать взрывоопасные перекиси
R36/37Раздражает глаза и органы дыхания
R40Ограниченная возможность канцерогенных эффектов
Индекс риска (R)
11-19-36/37-40

Индекс безопасности

S16Хранить вдали от источников возгорания — Не курить
S29Не сливать в канализацию
S33Примите меры предосторожности во избежание статических разрядов
S36/37Надеть соответствующую защитную одежду и перчатки
Индекс безопасности (S)
16-29-33-36/37

Символы опасности

Символы опасности
огнеопасно, опасность, опасно для здоровья
  • Тиогликолевая кислота, pure, NeoFroxx, Германия
LC-4022.3
1 кг
47 779, руб.
490,= EUR
Товар временно недоступен. Аналог: 037156.100 gm, CDH, Индия


Синонимы: L-2-Амино-3-(4-гидроксифенил)-пропионовая кислота, (S)-2-Амино-3-(4-гидроксифенил)пропионовая кислота, 3-(4-гидроксифенил)-L-аланин, (S)-2-Amino-3-(4-hydroxyphenyl)propionic acid, 3-(4-Hydroxyphenyl)-L-alanine.
CAS-No. 60-18-4
Химическая формула C₉H₁₁NO₃
Молекулярный вес, г/моль 181,19
Содержание основного вещества, % 99-101
Хлориды, % не более 0,02
Сульфаты, % не более 0,02
Железо, % не более 0,001
Тяжелые металлы, % не более 0,001
Потери при высушивании (105°C; 3 ч), % не более 0,3
Сульфатная зола, % не более 0,1
Бактериальные эндотоксины, I.U./g не более 20
Условия хранения комнатная температура

Индекс риска

Индекс риска (R)
36/37/38-40

Индекс безопасности

S36Наденьте соответствующую защитную одежду
S37/39Надеть соответствующие перчатки и средства защиты глаз/лица
Индекс безопасности (S)
26-36-37/39-22
  • Тирозин-L, 99,0-101,0%, pure EP, USP (pharma grade), neoFroxx
LC-4256.2
2,5 л
По запросу
По запросу
Товар временно недоступен. Аналог: 775500.2.5 lit, CDH, Индия


Синоним: метилбензол, фенилметан.
CAS-No. 108-88-3
Химическая формула C₆H₅CH₃
Молекулярный вес 92,14 г/моль
Внешний вид бесцветная прозрачная жидкость
Содержание основного вещества более 99,5 %
Вода, % не более 0,03
Точка кипения, °C 110,6
Точка плавления, °C - 95
Кислотность, % не более 0,001
Щелочность, % не более 0,001
APHA цвет 10
Бензол, % не более 0,05
Тиофен, % не более 0,0002
Соединения серы, % не более 0,003
Остаток после выпаривания, % не более 0,001
Свинец, % не более 0,00001
Кадмий, % не более 0,000005
Кальций, % не более 0,00005
Хром, % не более 0,000005
Железо, % не более 0,00001
Медь, % не более 0,000002
Магний, % не более 0,00001
Марганец, % не более 0,000002
Никель, % не более 0,000002
Цинк, % не более 0,00001

Индекс риска

R11Очень огнеопасно
R38Вызывает раздражение кожи
R48/20Вредно: может нанести серьёзный вред здоровью при длительном вдыхании
R63Возможен риск причинения вреда эмбриону
R65Опасно: может причинить вред легким при проглатывании
R67Пары могут вызвать сонливость и головокружение
Индекс риска (R)
11-38-48/20-63-65-67

Символы опасности

Символы опасности
огнеопасно, опасность, опасно для здоровья
  • Толуол
LC-4089.1
100 г
По запросу
По запросу
Синонимы: L-2-Амино-3-(индол-3)-пропионовая кислота, (S)-2-амино-3-(3-индолил)пропионовая кислота, L-α-амино-3-индолпропионовая кислота, (S)-2-Amino-3-(3-indolyl)propionic acid, L-α-Amino-3-indolepropionic acid.


CAS-No. 73-22-3
Химическая формула C₁₁H₁₂N₂O₂
Молекулярный вес, г/моль 204,23
Содержание основного вещества, % не менее 98,5-101
pH (1 % в воде; 20 °C) не менее 5,5-7
Тяжелые металлы (свинец), % не более 0,001
Сульфатированная зола, % не более 0,1
Потери при сушке (3 часа, 105 °С), % не более 0,3
Аммоний, % не более 0,02
Хлориды, % не более 0,02
Сульфаты, % не более 0,03
Железо, % не более 0,002

Индекс риска

R11Очень огнеопасно
R38Вызывает раздражение кожи
R48/20Вредно: может нанести серьёзный вред здоровью при длительном вдыхании
R63Возможен риск причинения вреда эмбриону
R65Опасно: может причинить вред легким при проглатывании
R67Пары могут вызвать сонливость и головокружение
Индекс риска (R)
11-38-48/20-63-65-67

Символы опасности

Символы опасности
огнеопасно, опасность, опасно для здоровья
  • Триптофан-L, pure EP, USP, не менее 98,5 – 101,0%, pharma grade, Германия, NeoFroxx, 100 г
LC-4089.2
25 г
По запросу
По запросу
Товар временно недоступен. Аналог: TC1121M.100 gm, CDH, Индия.


Синонимы: L-2-Амино-3-(индол-3)-пропионовая кислота, (S)-2-амино-3-(3-индолил)пропионовая кислота, L-α-амино-3-индолпропионовая кислота, (S)-2-Amino-3-(3-indolyl)propionic acid, L-α-Amino-3-indolepropionic acid.


CAS-No. 73-22-3
Химическая формула C₁₂H₁₂N₂O₂
Молекуляный вес, г/моль 204,23
Специфическое вращение α 20°C/сутки; 1 % в воде -33,0° to -30,0°
Специфическое вращение α 25°C/сутки; 1 % в воде -32,8° to -29,4°
pH (1% в воде; 20°C) 5,5 - 7,0
Тяжелые металлы (свинец), % не более 0,001
Сульфатированная зола, % Не более 0,1
Потери при сушке (3 ч; 105°C), % не более 0,3
Примесь А + другие родственные вещества. тест пройден
Нингидрин, % не более 0,5
Аммоний, % не более 0,02
Хлориды, % не более 0,02
Сульфаты, % не более 0,03
Железо, % не более 0,002

Индекс риска

R11Очень огнеопасно
R38Вызывает раздражение кожи
R48/20Вредно: может нанести серьёзный вред здоровью при длительном вдыхании
R63Возможен риск причинения вреда эмбриону
R65Опасно: может причинить вред легким при проглатывании
R67Пары могут вызвать сонливость и головокружение
Индекс риска (R)
11-38-48/20-63-65-67

Символы опасности

Символы опасности
огнеопасно, опасность, опасно для здоровья
  • Триптофан - L,  pure EP, USP (pharma grade), Германия, NeoFroxx, 25 г
1115KG001
1 кг
По запросу
По запросу
Товар временно недоступен. Аналог: 998660.100 gm, CDH, Индия.


Синонимы: Трис(гидроксиметил)аминометан, 2-Амино-2-(гидроксиметил)-1,3-пропандиол, 2-Амино-2-(гидроксиметил)-пропан-1,3-диол, Трометамол, 2-Amino-2-(hydroxymethyl)-1,3-propanediol, 2-Amino-2-(hydroxymethyl)-propane-1,3-diol, THAM, Tris(hydroxymethyl)aminomethane, Trometamol.


CAS-No. 77-86-1
Химическая формула C₄H₁₁NO₃
Молекуляный вес, г/моль 121,14
Содержание основного вещества, % не менее 99,9
Внешний вид белый кристаллический порошок
Раствор бесцветный прозрачный
УФ-абсорбция (40 % в воде): 260 нм не более 0,03
УФ-абсорбция (40 % в воде): 280 нм не более 0,2
Температура плавления, °C 168 - 173
Потери при сушке (3 часа, 105 °C) не более 0,2
pH (1 M in water, 20 °C) 10,5-11,5
Вязкость (20 °C, 50 % в воде), мПа×с 210-262
Медь, % не более 0,0001
Железо, % не более 0,0001
Свинец, % не более 0,0001

Индекс риска

R11Очень огнеопасно
R38Вызывает раздражение кожи
R48/20Вредно: может нанести серьёзный вред здоровью при длительном вдыхании
R63Возможен риск причинения вреда эмбриону
R65Опасно: может причинить вред легким при проглатывании
R67Пары могут вызвать сонливость и головокружение
Индекс риска (R)
11-38-48/20-63-65-67

Символы опасности

Символы опасности
огнеопасно, опасность, опасно для здоровья
  • Реактив Трис для молекулярной биологии, Германия, Neofroxx
LC-11105.1
50 мл
По запросу
По запросу
Товар временно недоступен. Аналог: LC-11105.1, neoFroxx


Синоним: трифторэтановая кислота, ТФУК.
CAS-No. 76-05-1
Химическая формула CF₃COOH
Молекулярный вес, г/моль 114,02
Внешний вид бесцветная прозрачная жидкость
Содержание основного вещества, % 99,9
Вода, % не более 0,05
Плотность, г/ мл 1,48
Хлориды, не более 0,001
Сульфаты, % не более 0,001
Фториды, % не более 0,005
Коэффициент пропускания при 260 нм не менее 1 AU
Коэффициент пропускания при 270 нм не менее 0,1 AU
Коэффициент пропускания при 280 нм не менее 0,05 AU
Коэффициент пропускания при 300 нм не менее 0,03 AU
Коэффициент пропускания при 320 нм не менее 0,03 AU

Индекс риска

R11Очень огнеопасно
R38Вызывает раздражение кожи
R48/20Вредно: может нанести серьёзный вред здоровью при длительном вдыхании
R63Возможен риск причинения вреда эмбриону
R65Опасно: может причинить вред легким при проглатывании
R67Пары могут вызвать сонливость и головокружение
Индекс риска (R)
11-38-48/20-63-65-67

Символы опасности

Символы опасности
огнеопасно, опасность, опасно для здоровья
  • Трифторуксусная кислота, 99,9 %, для ЖХ-МС, neoFroxx
LC-17001.1
1 кг
По запросу
По запросу
Товар временно недоступен. Аналоги по запросу ниже.


CAS-No. 76-03-9
Химическая формула CCI₃COOH
Молекулярный вес 163,39 г/моль
Квалификация pure EP
Содержание основного вещества, % 99-100,5
Внешний вид бесцветные, плавящиеся кристаллы
Вид раствора (100 г/л, Н2О) прозрачный, цвет соотв. эталону
Идентичность в ИК спектре тест
Сульфатная зола (600 °C), % 0,05
Температура плавления, °C 52-58
Растворимость (20 °C, Н2О), г/л 1600
Плотность (20 °C), кг/л 1,63
Хлориды (Cl), % 0,01
Железо (Fe), % 0,001
Связанные вещества (ГХ) (трихлоруксусная к-та), % 0,3
Связанные вещества (ГХ) (монохлоруксусная к-та), % 0,1
Остаточные растворители удалены в процессе производства
Условия хранения не выше 25 °С

Индекс риска

R35Вызывает сильные ожоги
R50/53Очень токсично для водных организмов, может вызывать долгосрочные неблагоприятные изменения в водной среде
Индекс риска (R)
35-50/53

Индекс безопасности

S26В случае попадания в глаза немедленно промыть глаза большим количеством воды и обратиться за медицинской помощью
S36/37/39Надеть соответствующую защитную одежду, перчатки и средства защиты глаз/лица
S45В случае аварии или при плохом самочувствии немедленно обратиться за медицинской помощью (по возможности предъявить этикетку материала)
S60Данный материал и его тару следует утилизировать как опасные отходы
S61Не допускать попадания в окружающую среду. Смотрите специальные инструкции/паспорт безопасности материала
Индекс безопасности (S)
26-36/37/39-45-60-61
  • Трихлоруксусная кислота (ТХУ), 99,0-100,5%, Диаэм
1269GR250
250 г
19 501, руб.
200,= EUR
Товар временно недоступен. Аналог: 989300.100 gm, CDH, Индия


CAS-No. 5704-04-1
Химическая формула C₆H₁₃NO₅
Молекулярный вес, г/моль 179,17
Содержание основного вещества, % не менее 99,0
pH (1,0 % в воде) 4,6-5,6
Вода (по Карлу Фишеру), % не более 0,3
Хлориды, % не более 0,1
Сульфаты, % не более 0,005
Железо, % не более 0,0005
Свинец, % не более 0,0005

Индекс риска

R35Вызывает сильные ожоги
R50/53Очень токсично для водных организмов, может вызывать долгосрочные неблагоприятные изменения в водной среде
Индекс риска (R)
35-50/53

Индекс безопасности

S26В случае попадания в глаза немедленно промыть глаза большим количеством воды и обратиться за медицинской помощью
S36/37/39Надеть соответствующую защитную одежду, перчатки и средства защиты глаз/лица
S45В случае аварии или при плохом самочувствии немедленно обратиться за медицинской помощью (по возможности предъявить этикетку материала)
S60Данный материал и его тару следует утилизировать как опасные отходы
S61Не допускать попадания в окружающую среду. Смотрите специальные инструкции/паспорт безопасности материала
Индекс безопасности (S)
26-36/37/39-45-60-61
  • Трицин, 99%, для биохимии, NeoFroxx
LC-7006.1
1 л
прекурсор
По запросу
По запросу
Товар временно недоступен. Аналог: 700100.2.5 lit, CDH, Индия

Данный реактив входит в список прекурсоров, для покупки требуется заполнить бланк об отпуске прекуросоров.


CAS-No. 64-19-7
Химическая формула CH₃COOH
Молекулярный вес 60,05 г/моль
Внешний вид прозрачная жидкость
Содержание основного вещества 99,5-100,5
Температура затвердевания, °C 15,6
Муравьиная кислота, % не более 0,10
Нелетучее вещество, % не более 0,005
Хлориды, % не более 0,0002
Сульфаты, % не более 0,0005
Альдегиды, % не более 0,05
Тяжелые металлы, % не более 0,0005
Алюминий, % не более 0,00005
Мышьяк, % не более 0,0001
Медь, % не более 0,0005
Железо, % не более 0,0005

Индекс риска

R35Вызывает сильные ожоги
R50/53Очень токсично для водных организмов, может вызывать долгосрочные неблагоприятные изменения в водной среде
Индекс риска (R)
35-50/53

Индекс безопасности

S26В случае попадания в глаза немедленно промыть глаза большим количеством воды и обратиться за медицинской помощью
S36/37/39Надеть соответствующую защитную одежду, перчатки и средства защиты глаз/лица
S45В случае аварии или при плохом самочувствии немедленно обратиться за медицинской помощью (по возможности предъявить этикетку материала)
S60Данный материал и его тару следует утилизировать как опасные отходы
S61Не допускать попадания в окружающую среду. Смотрите специальные инструкции/паспорт безопасности материала
Индекс безопасности (S)
26-36/37/39-45-60-61
  • Трицин
LC-6470.6
10 мл
1 219, руб.
13,= EUR
LC-6055.2
2,5 л
6 338, руб.
65,= EUR
Товар временно недоступен. Аналог: 531140, CDH, Индия


Синоним: формалин, формол.
CAS-No. 50-00-0
Химическая формула CH₂O
Молекулярный вес 30,03 г/моль
Внешний вид бесцветная прозрачная жидкость
Содержание основного вещества, % 37-37
APHA цвет 10
Метанол (ГХ), % 9-15
Кислоты, % не более 0,03
Остаток при прокаливании, % не более 0,05
Хлориды, % не более 0,001
Сульфаты, % не более 0,005
Тяжелые металлы, % не более 0,0005

Индекс риска

R35Вызывает сильные ожоги
R50/53Очень токсично для водных организмов, может вызывать долгосрочные неблагоприятные изменения в водной среде
Индекс риска (R)
35-50/53

Индекс безопасности

S26В случае попадания в глаза немедленно промыть глаза большим количеством воды и обратиться за медицинской помощью
S36/37/39Надеть соответствующую защитную одежду, перчатки и средства защиты глаз/лица
S45В случае аварии или при плохом самочувствии немедленно обратиться за медицинской помощью (по возможности предъявить этикетку материала)
S60Данный материал и его тару следует утилизировать как опасные отходы
S61Не допускать попадания в окружающую среду. Смотрите специальные инструкции/паспорт безопасности материала
Индекс безопасности (S)
26-36/37/39-45-60-61
  • Формальдегид
1103LT001
1 л
транспортировка +4°C
По запросу
По запросу
Синонимы: карбамальдегид, амид муравьиной кислоты, метанамид, Амид С₁, Amide C1, Formic amide, Formamide.


CAS-No. 75-12-7
Химическая формула CH₃NO
Молекулярный вес, г/моль 45,04
Содержание основного вещества, % не менее 99,5
Внешний вид прозрачная, бесцветная жидкость
ДНКазы/РНКазы/Протеазы не обнаружены
Вода, % не более 0,1
Хлориды, % не более 0,00005
Свинец, % не более 0,00001
Железо, % не более 0,00001

Индекс риска

R35Вызывает сильные ожоги
R50/53Очень токсично для водных организмов, может вызывать долгосрочные неблагоприятные изменения в водной среде
Индекс риска (R)
35-50/53

Индекс безопасности

S26В случае попадания в глаза немедленно промыть глаза большим количеством воды и обратиться за медицинской помощью
S36/37/39Надеть соответствующую защитную одежду, перчатки и средства защиты глаз/лица
S45В случае аварии или при плохом самочувствии немедленно обратиться за медицинской помощью (по возможности предъявить этикетку материала)
S60Данный материал и его тару следует утилизировать как опасные отходы
S61Не допускать попадания в окружающую среду. Смотрите специальные инструкции/паспорт безопасности материала
Индекс безопасности (S)
26-36/37/39-45-60-61
  • Формамид для молекулярной биологии, деионизованный, Германия, NeoFroxx
1103ML500
500 мл
транспортировка +4°C
По запросу
По запросу
Синонимы: карбамальдегид, амид муравьиной кислоты, метанамид, Амид С₁, Amide C1, Formic amide, Formamide.


CAS-No. 75-12-7
Химическая формула CH₃NO
Молекулярная масса, г/моль 45,04
Внешний вид прозрачная жидкость
Содержание основного вещества, % 99,5
ДНК-азы, РНК-азы, протеазы не обнаружены
Вода, % не более 0,1
Хлориды, % 0,00005
Железо, % 0,00001
Свинец, % 0,00001

Индекс риска

R35Вызывает сильные ожоги
R50/53Очень токсично для водных организмов, может вызывать долгосрочные неблагоприятные изменения в водной среде
Индекс риска (R)
35-50/53

Индекс безопасности

S26В случае попадания в глаза немедленно промыть глаза большим количеством воды и обратиться за медицинской помощью
S36/37/39Надеть соответствующую защитную одежду, перчатки и средства защиты глаз/лица
S45В случае аварии или при плохом самочувствии немедленно обратиться за медицинской помощью (по возможности предъявить этикетку материала)
S60Данный материал и его тару следует утилизировать как опасные отходы
S61Не допускать попадания в окружающую среду. Смотрите специальные инструкции/паспорт безопасности материала
Индекс безопасности (S)
26-36/37/39-45-60-61
  • Формамид для молекулярной биологии, 500 мл, Германия, NeoFroxx
1890GR100
100 г
По запросу
По запросу
Товар временно недоступен. Аналог: 043011.100 gm, CDH, Индия


CAS-No. 57-88-5
Химическая формула C₂₇H₄₆O
Молекулярный вес, г/моль 386,66
Содержание основного вещества,% не менее 95
Внешний вид белый порошок
Раствор бесцветный до бледно-желтого цвета
Специфическое вращение (α20°C/D; 2 % в 1,4-диоксане) -34° до -38°
Потери при сушке,% 0,3

Индекс риска

R35Вызывает сильные ожоги
R50/53Очень токсично для водных организмов, может вызывать долгосрочные неблагоприятные изменения в водной среде
Индекс риска (R)
35-50/53

Индекс безопасности

S26В случае попадания в глаза немедленно промыть глаза большим количеством воды и обратиться за медицинской помощью
S36/37/39Надеть соответствующую защитную одежду, перчатки и средства защиты глаз/лица
S45В случае аварии или при плохом самочувствии немедленно обратиться за медицинской помощью (по возможности предъявить этикетку материала)
S60Данный материал и его тару следует утилизировать как опасные отходы
S61Не допускать попадания в окружающую среду. Смотрите специальные инструкции/паспорт безопасности материала
Индекс безопасности (S)
26-36/37/39-45-60-61
  • Холестерин, 95 % для биохимии, neoFroxx
1422GR500
500 г
По запросу
По запросу
Товар временно недоступен. Аналог: 027921.500gm, CDH, Индия

Индекс риска

R35Вызывает сильные ожоги
R50/53Очень токсично для водных организмов, может вызывать долгосрочные неблагоприятные изменения в водной среде
Индекс риска (R)
35-50/53

Индекс безопасности

S26В случае попадания в глаза немедленно промыть глаза большим количеством воды и обратиться за медицинской помощью
S36/37/39Надеть соответствующую защитную одежду, перчатки и средства защиты глаз/лица
S45В случае аварии или при плохом самочувствии немедленно обратиться за медицинской помощью (по возможности предъявить этикетку материала)
S60Данный материал и его тару следует утилизировать как опасные отходы
S61Не допускать попадания в окружающую среду. Смотрите специальные инструкции/паспорт безопасности материала
Индекс безопасности (S)
26-36/37/39-45-60-61
  • Цетилпиридиний хлористый 1-водный
1743GR100
100 г
По запросу
По запросу
Товар временно недоступен. Аналог: 491325.500 gm, CDH, Индия


CAS-No. 57-09-0
Химическая формула C₁₉H₄₂BrN
Молекулярный вес, г/моль 364,46
Содержание основного вещества, % не менее 99
Внешний вид белый порошок
Раствор бесцветный до бледно-желтого цвета
Подходит для использования в осаждении ДНК да
ДНКаза, экзонуклеаза обнаружение не обнаружено
Никаза, эндонуклеаза обнаружение не обнаружено
Обнаружение РНКазы не обнаружено

Индекс риска

R35Вызывает сильные ожоги
R50/53Очень токсично для водных организмов, может вызывать долгосрочные неблагоприятные изменения в водной среде
Индекс риска (R)
35-50/53

Индекс безопасности

S26В случае попадания в глаза немедленно промыть глаза большим количеством воды и обратиться за медицинской помощью
S36/37/39Надеть соответствующую защитную одежду, перчатки и средства защиты глаз/лица
S45В случае аварии или при плохом самочувствии немедленно обратиться за медицинской помощью (по возможности предъявить этикетку материала)
S60Данный материал и его тару следует утилизировать как опасные отходы
S61Не допускать попадания в окружающую среду. Смотрите специальные инструкции/паспорт безопасности материала
Индекс безопасности (S)
26-36/37/39-45-60-61
  • Цетилтриметиламмоний-N-бромид, 99 %, для мол. биологии, neoFroxx
1669KG001
1 кг
11 896, руб.
122,= EUR
Товар временно недоступен. Аналог: 932500.500 gm, CDH, Индия


CAS-No. 60-00-4
Химическая формула C₁₀H₁₆N₂O₈
Молекулярный вес 292,2
Внешний вид белый порошок без запаха
pH (вода: 10 г/л , 23 °C) 2,5
Температура плавления/замерзания, °C 220
Температура вспышки, °C не менее 400
Растворимость в воде 400 мг/л при 20 °C
n-октанол/вода 0,13

Индекс риска

R35Вызывает сильные ожоги
R50/53Очень токсично для водных организмов, может вызывать долгосрочные неблагоприятные изменения в водной среде
Индекс риска (R)
35-50/53

Индекс безопасности

S26В случае попадания в глаза немедленно промыть глаза большим количеством воды и обратиться за медицинской помощью
S36/37/39Надеть соответствующую защитную одежду, перчатки и средства защиты глаз/лица
S45В случае аварии или при плохом самочувствии немедленно обратиться за медицинской помощью (по возможности предъявить этикетку материала)
S60Данный материал и его тару следует утилизировать как опасные отходы
S61Не допускать попадания в окружающую среду. Смотрите специальные инструкции/паспорт безопасности материала
Индекс безопасности (S)
26-36/37/39-45-60-61
  • ЭДТА, для биохимии, neoFroxx
1353ML100
100 мл
4 680, руб.
48,= EUR


Синонимы: 4-(2-гидроксиэтил)-1-пиперазин-1-этансульфоновая кислота, N-(2-гидроксиэтил)-пиперазин-N'-2-этансульфоновая кислота.
Внешний вид Прозрачный бесцветный раствор
ДНКазы/РНКазы/протеазы Не обнаружены
pH 7,9-8,0
ЭДТА×Na₂×H₂O, г/л 186,12 g/l

Индекс риска

R35Вызывает сильные ожоги
R50/53Очень токсично для водных организмов, может вызывать долгосрочные неблагоприятные изменения в водной среде
Индекс риска (R)
35-50/53

Индекс безопасности

S26В случае попадания в глаза немедленно промыть глаза большим количеством воды и обратиться за медицинской помощью
S36/37/39Надеть соответствующую защитную одежду, перчатки и средства защиты глаз/лица
S45В случае аварии или при плохом самочувствии немедленно обратиться за медицинской помощью (по возможности предъявить этикетку материала)
S60Данный материал и его тару следует утилизировать как опасные отходы
S61Не допускать попадания в окружающую среду. Смотрите специальные инструкции/паспорт безопасности материала
Индекс безопасности (S)
26-36/37/39-45-60-61
  • ЭДТА раствор pH 8.0 (0.5 М) для молекулярной биологии, Neofroxx
2024ML010
10 мл
хранение +2...+8°C, транспортировка +2...+8 °C
По запросу
По запросу
Товар временно недоступен. Аналог: 932450.10 ml, CDH, Индия

Индекс риска

R35Вызывает сильные ожоги
R50/53Очень токсично для водных организмов, может вызывать долгосрочные неблагоприятные изменения в водной среде
Индекс риска (R)
35-50/53

Индекс безопасности

S26В случае попадания в глаза немедленно промыть глаза большим количеством воды и обратиться за медицинской помощью
S36/37/39Надеть соответствующую защитную одежду, перчатки и средства защиты глаз/лица
S45В случае аварии или при плохом самочувствии немедленно обратиться за медицинской помощью (по возможности предъявить этикетку материала)
S60Данный материал и его тару следует утилизировать как опасные отходы
S61Не допускать попадания в окружающую среду. Смотрите специальные инструкции/паспорт безопасности материала
Индекс безопасности (S)
26-36/37/39-45-60-61
  • Этидиум бромид
LC-4040.2
2,5 л
14 431, руб.
148,= EUR
Синонимы: этилацетат, ацетилоксиэтан, ethyl acetate, acetyloxyethane.


Синоним: уксусной кислоты этиловый эфир, уксуснокислый эфир.
CAS-No. 141-78-6
Химическая формула CH₃COOC₂H₅
Молекулярный вес 88,11 г/моль
Внешний вид бесцветная прозрачная жидкость
Содержание основного вещества, % не менее 99,9
Вода, % не более 0,1
Точка кипения, °C 77
Точка плавления, °C -83
растворимость, г/л 80
Кислотность не более 0,0001 мг-экв/г
Щелочность не более 0,0001 мг-экв/г
Остаток после выпаривания не более 2 ppm
Коэффициент пропускания УФ:
255 нм не менее 20 %
260 нм не менее 63 %
270 нм не менее 79 %
300 нм не менее 89 %

Индекс риска

R35Вызывает сильные ожоги
R50/53Очень токсично для водных организмов, может вызывать долгосрочные неблагоприятные изменения в водной среде
Индекс риска (R)
35-50/53

Индекс безопасности

S26В случае попадания в глаза немедленно промыть глаза большим количеством воды и обратиться за медицинской помощью
S36/37/39Надеть соответствующую защитную одежду, перчатки и средства защиты глаз/лица
S45В случае аварии или при плохом самочувствии немедленно обратиться за медицинской помощью (по возможности предъявить этикетку материала)
S60Данный материал и его тару следует утилизировать как опасные отходы
S61Не допускать попадания в окружающую среду. Смотрите специальные инструкции/паспорт безопасности материала
Индекс безопасности (S)
26-36/37/39-45-60-61
  • Этилацетат

Ниже вы можете задать вопрос или оставить запрос в свободной форме:

Раскрыть анкету для отправки запроса

Ваш заказ будет обработан
в ближайшее время.
Мы пришлем уведомление, как только все будет готово. Спасибо!