Top.Mail.Ru
info@dia-m.ru 8 (800) 234-05-08
+7 (495) 745-05-08
Ваш регион Москва?

Химические реактивы - буква «э»

Доступность
  • На складе
  • В транзите
  • В транзите и на складе
  • Все товары
CDH, Индия
ЭДТА, CAS 60-00-4, 98%, (аналог арт. 1340GR500, neoFroxx)
085425.100 gm
100 г
637 руб.
7,= USD
085235.100 gm
100 г
637 руб.
7,= USD
085235.500 gm
500 г
1 897 руб.
22,= USD
085425.5 kg
5 кг


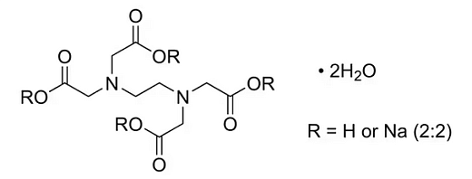
Синонимы: этилендинитрилотетрауксусная кислота, эдетовая кислота, эдатамил.
CAS-No. 60-00-4
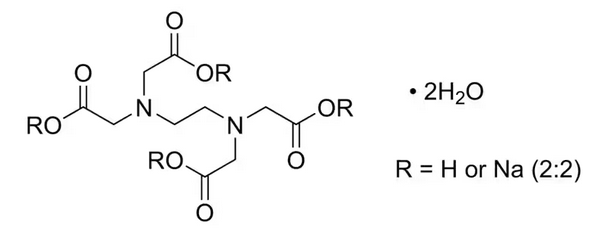
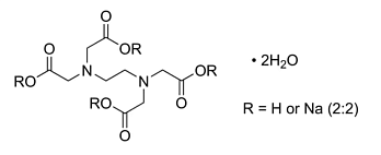
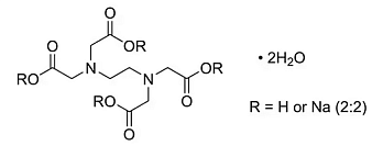
Химическая формула C₁₀H₁₆N₂O₈
Молекулярный вес, г/моль 292,25
Содержание основного вещества, % не менее 98
Внешний вид белый кристаллический порошок
Хлориды, % 0,02
Сульфаты, % 0,1
Сульфатная зола, % 0,3
Условия хранения комнатная температура

Индекс риска

R36Вызывает раздражение глаз
R52/53Опасно для водных организмов, может вызывать долгосрочные неблагоприятные изменения в водной среде
Индекс риска (R)
36-52/53

Индекс безопасности

S61Не допускать попадания в окружающую среду. Смотрите специальные инструкции/паспорт безопасности материала
Индекс безопасности (S)
61
neoFroxx
ЭДТА, 99,4-100,6%, p.A., CAS 60-00-4
LC-10821.1
100 г
LC-10821.2
1 кг
LC-10821.3
25 кг


Синонимы: эдатамил, этилендитрилотетрауксусная кислота, эдетовая кислота.
CAS-No. 60-00-4
Химическая формула C₁₀H₁₆N₂O₈
Молекулярный вес, г/моль 292,25
Содержание основного вещества, % 99,4-100,6
Кальций, % Не более 0,001
Медь, % Не более 0,001
Тяжелые металлы, % Не более 0,001
Хлориды, % Не более 0,005
Железо, % Не более 0,001
Никель, % Не более 0,001
Свинец, % Не более 0,001
Сульфатная зола, % Не более 0,1
Условия хранения Комнатная температура

Индекс риска

R24/25Токсично при попадании на кожу и проглатывании
Индекс риска (R)
24/25

Индекс безопасности

S26В случае попадания в глаза немедленно промыть глаза большим количеством воды и обратиться за медицинской помощью
S39Используйте средства защиты глаз/лица
S37/39Надеть соответствующие перчатки и средства защиты глаз/лица
S24/25Избегать попадания на кожу и в глаза
S36/37/39Надеть соответствующую защитную одежду, перчатки и средства защиты глаз/лица
S45В случае аварии или при плохом самочувствии немедленно обратиться за медицинской помощью (по возможности предъявить этикетку материала)
S36Наденьте соответствующую защитную одежду
Индекс безопасности (S)
26-39-37/39-24/25-36/37/39-45-36
Servicebio, Китай
ЭДТА, более 99,5%, CAS 60-00-4
GC202001-500g
500 г
2 512 руб.
196 CNY


CAS-No. 60-00-4
Химическая формула C₁₀H₁₆N₂O₈
Молекулярный вес, г/моль 292,24
Содержание основного вещества, % ≥99,5
Плотность, г/см³ 1,6±0,1
Температура плавления, °C 250 (лит.)
Температура кипения при 760 мм рт.ст., °C 614,2±55,0
Температура вспышки, °C 325,2±31,5
Thermo FS
ЭДТА динатриевая соль, раствор 0,5M, pH 8,0, UltraPure
15575020
4x100 мл
25 800 руб.
25 800 руб. RUB
Водный раствор Na₂EDTA×2H₂O в дистиллированной деионизированной воде с регулировкой pH до 8,0 с помощью гидроксида натрия.

Хранить при комнатной температуре.
ME.0500
500 г
567 руб.
567 руб. RUB
ME.5000
5 кг
1 800 руб.
1 800 руб. RUB
ME.25000
25 кг


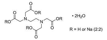
CAS-No. 6381-92-6
Химическая формула C₁₀H₁₄N₂Na₂O₈x2H₂O
Молярный вес, г/моль 372,24
Содержание основного вещества, % >98,5
Нерастворимое вещество, % 0,02
Железо, % Менее 0,0005
Медь, % Менее 0,005
Тяжелые металлы, % Менее 0,005
рН раствора с массовой долей 0,5% 4,0-5,0
CDH, Индия
ЭДТА динатриевая соль дигидрат, CAS 6381-92-6, 99,5%, для молекулярной биологии, (аналоги: арт. 1669KG001, арт. 1108KG001, neoFroxx)
932500.100gm
100 г
NEW
2 150 руб.
24,= USD
932500.500 gm
500 г
NEW
4 937 руб.
56,= USD


CAS-No. 6381-92-6
Химическая формула C₁₀H₁₄N₂O₈Na₂×2H₂O
Молекулярный вес, г/моль 372,24
Содержание основного вещества, % Не менее 99,5
Внешний вид Белый кристаллический порошок
Растворимость 5%-ный раствор в воде является прозрачным и бесцветным
рН (5%-ный раствор в воде) Не менее 4,3 – 4,7
Абсорбция 0,1 м ак. зольн. при 260 нм Не более 0,2
Абсорбция 0,1 м ак. зольн. при 280 нм Не более 0,02
Потери при сушке (при температуре 150 °C в течение 6 часов), % Не более 9-10
Нерастворимые вещества, % Не более 0,005
Нитрилотриуксусная кислота, % Не более 0,025
Хлориды, % Не более 0,004
Железо, % Не более 0,001
ДНК-азы, РНК-азы, протеазы и фосфотазы Не детектированы
CDH, Индия
ЭДТА динатриевая соль, дигидрат, CAS 6381-92-6, 99%, Cell Culture Tested
TC1038.500 gm
500 г
2 224 руб.
25,= USD
TC1038.1 kg
1 кг
3 410 руб.
39,= USD


CAS-No. 6381-92-6
Химическая формула C10H14N2Na2O8 × 2H2O
Молекулярная масса, г/моль 372,24
Внешний вид белый кристаллический порошок
Содержание основного вещества, % 99,0
рН 4-6
Тест клеточной культуры проходит

Индекс опасности

Индекс опасности (H)
GHS07; GHS08
neoFroxx
ЭДТА динатриевая соль, дигидрат, CAS 6381-92-6, pure EP, USP (pharma grade)
LC-5658.1
250 г
4 756 руб.
47,= EUR


Синонимы: дигидрат динатрия этилендиаминтетраацетата, динатриевая соль ЭДТА, ЭДТА-Na₂.
CAS-No 6381-92-6
Химическая формула C10H14N2Na2O8 · 2H2O
Молекулярный вес, г/моль 372,24
Условия хранения при температуре ниже 25°C
Содержание основного вещества,% 99
Индекс риска (R) 36/37/38
Индекс безопасности (S) 26-36

Индекс риска

Индекс риска (R)
36/37/38

Индекс безопасности

S26В случае попадания в глаза немедленно промыть глаза большим количеством воды и обратиться за медицинской помощью
Индекс безопасности (S)
26-36
1353ML100
100 мл
4 857 руб.
48,= EUR
1353ML500
500 мл


Синонимы: 4-(2-гидроксиэтил)-1-пиперазин-1-этансульфоновая кислота, N-(2-гидроксиэтил)-пиперазин-N'-2-этансульфоновая кислота.
Внешний вид Прозрачный бесцветный раствор
ДНКазы/РНКазы/протеазы Не обнаружены
pH 7,9-8,0
ЭДТА×Na₂×H₂O, г/л 186,12 g/l
523495.500 gm
500 г
2 313 руб.
26,= USD


CAS-No. 60-00-4
Химическая формула C₁₀H₁₆N₂O₈
Молекулярная масса, г/моль 292,25
Внешний вид Белый кристаллический порошок
Содержание основного вещества, % 99,0
Хлориды, % 0,02
Сульфаты, % 0,01
Кальций, % 0,05
Медь, % 0,0005
Железо, % 0,0005
Свинец, % 0,0005
Магний, % 0,005

Индекс риска

Индекс риска (R)
GHS07
Этилендинитрилотетрауксусная кислота
См. ЭДТА
Ваш заказ будет обработан
в ближайшее время.
Мы пришлем уведомление, как только все будет готово. Спасибо!